Самые влиятельные люди России
"Власть" продолжает публиковать ежемесячный рейтинг самых влиятельных российск
"Власть" продолжает публиковать ежемесячный рейтинг самых влиятельных российских чиновников, политиков и бизнесменов. Сегодня — рейтинг за май 2002 года.
Для оценки влиятельности политиков "Власть" применяет метод статистического исследования российских СМИ, которое проводится по девяти параметрам. Смысл и способ расчета каждого параметра излагаются в комментариях к таблицам 1-5. Итоговый рейтинг приводится в таблице 6. Рейтинг рассчитан для 182 российских политиков и бизнесменов, в число которых входят руководители всех ветвей власти, ведущие министры, главы регионов, крупнейшие бизнесмены и финансисты.
Исходя из главного показателя — индекса упоминаемости — участники рейтинга разделены на два дивизиона. Представители первого (они названы в таблице 1) участвуют и в борьбе за первенство в отдельных номинациях (таблицы 2-5).
Из-за затяжных праздников общее количество материалов СМИ в мае значительно сократилось — 17 530 против 23 870 в апреле. Соответственно, уменьшились и показатели Владимира Путина, относительно которых рассчитываются все результаты в таблице 1. А это, в свою очередь, дало участникам рейтинга шанс заметно улучшить свои позиции. Однако воспользоваться этим шансом удалось лишь немногим.
Не сумел развить свой апрельский успех спикер Госдумы Геннадий Селезнев, ворвавшийся в тройку лидеров благодаря скандальному переделу пакетного соглашения о распределении руководящих думских должностей. Скандал вокруг спикера и двух его коллег, не пожелавших выполнять решение пленума ЦК КПРФ об уходе со своих постов, в мае завершился исключением всех "диссидентов" из КПРФ. Несмотря на это, Селезнев по всем параметрам резко сдал и, если бы его основные конкуренты тоже не выступили так слабо, вполне мог бы покинуть пятерку лидеров. Особенно катастрофическим выглядит провал спикера в номинации "Деньги", где он впервые вылетел из первой сотни.
Покинутое Селезневым место на пьедестале тут же занял Юрий Лужков, отличающийся завидной стабильностью: за пять месяцев мэр Москвы дважды был четвертым по общей упоминаемости и трижды — третьим. Правда, его упоминаемость в мае также снизилась (на 6,8 процентного пункта), но традиционно бурная деятельность по управлению городским хозяйством и запрет на импорт в столицу "ножек Буша" обеспечили ему место в призовой тройке. Любопытно также, что со временем Лужков медленно, но верно отдаляется от президента (параметр "Рядом с П"): восьмое место в январе, 10-е — в апреле и, наконец, 16-е — в мае.
Естественно, что при столь пассивном поведении ближайших преследователей Михаилу Касьянову за свое второе место в мае можно было не беспокоиться. Премьер даже слегка притормозил по общей упоминаемости (минус четыре процентных пункта), зато резко прибавил по профильному параметру "Деньги" (почти 27 пунктов). Правда, до собственного февральского рекорда в этой номинации (117,7% по отношению к президенту) ему далеко.
Участники рейтинга, занимающие по общей упоминаемости места с пятого по десятое, идут достаточно плотной группой. Вернулись в десятку Игорь и Сергей Ивановы, отличившиеся при проведении крупнейших международных мероприятий — встреч на высшем уровне Россия--США, Россия--НАТО и Россия--ЕС. При этом министр иностранных дел чаще, чем глава военного ведомства, фигурировал в заголовках и к тому же стал единственным среди десяти наиболее упоминаемых политиков, кто хоть немного улучшил свой апрельский результат.
Особо стоит отметить Алексея Кудрина, который, стартовав в январе с 26-й позиции, затем неуклонно поднимался в таблице упоминаемости и в отчетном месяце замкнул пятерку лидеров. Причем первые десять дней мая вице-премьер и министр финансов находился в краткосрочном отпуске, но своей последующей активностью сумел компенсировать этот пробел. СМИ особенно отметили его участие в обсуждении в Думе поправок к закону о ЦБ, работу над концепцией бюджета-2003 и нашумевшее заявление о планах слияния Внешторгбанка и Внешэкономбанка. А вот для его коллеги по вице-премьерскому цеху Виктора Христенко те же десять отпускных дней обернулись потерей 2,5 процентного пункта и падением на шесть мест в рейтинге.
Из представителей первого дивизиона наибольшего прогресса в мае добился директор ФСБ Николай Патрушев, поднявшийся на 62 места. О нем журналисты вспоминали не только в связи с его прямыми обязанностями по борьбе с терроризмом (особенно после теракта в Каспийске 9 мая), но и из-за победы его подчиненного, главы Смоленского УФСБ Виктора Маслова, на выборах губернатора Смоленской области.
Среди самых больших неудачников месяца оказался глава Орловской области Егор Строев, который, блеснув на апрельском заседании Госсовета по земельному вопросу, затем ушел в тень и, опустившись на 57 позиций, покинул первый дивизион.
Абсолютными победителями Кубка прогресса, как это нередко бывает, стали политики, не входящие в первую полусотню. На 97 мест поднялся губернатор Приморья Сергей Дарькин (53-е место по упоминаемости). Он удачно позаботился о сотрудниках "Дальморепродукта", которым руководство задерживало зарплату, и расследовании действий милиции во время разгона рыбацкого пикета. А глава Дагестана Магомедали Магомедов (52-е место) взлетел сразу на 103 позиции после того, как стал одним из главных действующих лиц в репортажах о теракте в Каспийске.
ДМИТРИЙ КАМЫШЕВ
Всего материалов 17530
Президентские абсолютные показатели
Упоминаемость 2400
Заголовки 1335
Цитируемость 421
Деньги 159
Рядом с П 2400
Российские ньюсмейкеры в долях от президента
Табл. 1
Статистические данные собраны по 183 российским политикам. В табл. 1-5 приводятся данные по 50 наиболее упоминаемым.
Под "Упоминаемостью" понимается количество материалов СМИ, в которых встречается имя политика.
Параметр "Заголовки" оценивает "качественную" упоминаемость политика: он рассчитывается исходя из упоминаемости политика в заголовках и первых фразах сообщений прессы. Этот параметр позволяет отсечь случайные упоминания и зафиксировать лишь те сообщения, в которых политик является одним из главных героев.
Параметр "Цитируемость" оценивает авторитетность политика: фиксируются те сообщения СМИ, в которых в том или ином виде содержится ссылка на слова политика.
Параметр "Деньги" косвенным образом оценивает "экономическую активность" политика. Фиксируются сообщения, в которых его имя упоминается в контексте тех или иных денежных сумм.
Параметр "Рядом с П" характеризует совместную встречаемость имен политика и президента страны.
В табл. 1 абсолютные показатели президента по каждому из параметров считаются эталонными и принимаются за 100%. Показатели остальных политиков считаются в процентах от соответствующих показателей Владимира Путина.
Политики в табл. 1 ранжированы по параметру "Упоминаемость". В скобках указывается место в рейтинге по другим параметрам. В колонке "Место" в скобках указывается место по "Упоминаемости" в прошлом месяце.
Заголовщики
В номинации "Заголовщики", помогающей выяснить, кто из участников рейтинга чаще других становился главным героем публикаций СМИ, в мае произошло сразу несколько событий.
Во-первых, появился новый лидер. Николай Патрушев, в апреле выступавший во втором дивизионе, показал второй результат за всю историю рейтинга (апрельский посмертный рекорд Александра Лебедя ему, правда, побить не удалось). Отметим, что глава МЧС Сергей Шойгу, героически боровшийся с пожарами и наводнениями в Сибири и на Дальнем Востоке, смог составить директору ФСБ серьезную конкуренцию, уступив ему менее 0,2 процентного пункта.
Во-вторых, прибавил Владимир Путин, показавший рекордный для себя результат и вернувшийся на пятое место, которое он занимал в первом, январском рейтинге. Этим успехом он во многом обязан редкой концентрации в одном месяце сразу нескольких топовых политических событий, в первую очередь саммитов. Помогли главе государства и праздники: общее число публикаций снизилось, а вес каждого заголовка, соответственно, возрос. Впрочем, не стоит приуменьшать и заслуги самого Путина, ведь президенту, которого в прессе поминают часто и не всегда по делу, улучшать относительные показатели гораздо сложнее, чем другим участникам рейтинга.
Наконец, третьим событием мая стала победа в Кубке прогресса патриарха Алексия II, поднявшегося на 28 позиций. В принципе этот успех его святейшества был вполне предсказуем. В январе, когда в России праздновали Рождество, Алексий II был в рейтинге шестым, а в мае, на который выпала Пасха, почти повторил этот результат.
Среди других "прогрессистов" мая можно отметить связку Евгений Киселев--Михаил Лесин, шагнувшую вверх соответственно на 23 и 18 мест в связи с выдачей "Медиа-социуму" лицензии на вещание на шестом телеканале, а также Виктора Казанцева (плюс 17 позиций). Полпред президента в Южном федеральном округе успел отметиться и в Сочи (совещание у президента), и в Магасе (инаугурация нового президента Ингушетии Мурада Зязикова), и в Махачкале (инспекционная поездка в Дагестан). Хуже всех в номинации выступил Вячеслав Фетисов (минус 30 позиций), что тоже объяснимо: с одной стороны, общая упоминаемость нового главы Госкомспорта в мае выросла (см. таблицу 1), с другой — его назначение на этот пост перестало быть первополосной новостью.
Среди малоупоминаемых участников рейтинга сильных заголовщиков на этот раз не нашлось. Даже если бы в номинации учитывались результаты представителей второго дивизиона, вклиниться в пятерку лидеров смог бы лишь губернатор Ленинградской области Валерий Сердюков (60%).
Табл. 2
В табл. 1 "качественная" упоминаемость политика сравнивается с аналогичным президентским показателем.
В табл. 2 "качественная" упоминаемость политика сравнивается с его общей упоминаемостью. Тот, у кого среди всех упоминаний больше доля упоминаний в заголовках и первых фразах сообщений СМИ, занимает более высокое место.
Данные в колонке "Заголовщики" указаны в процентах. В колонке "Заголовки" указано место, занятое политиком по соответствующему параметру в табл. 1. В скобках указывается место, занятое в предыдущем месяце.
Авторитеты
В номинации "Авторитеты", которая отражает внимание СМИ к мнениям политиков и бизнесменов, также произошла смена лидера. Причем на первую строчку, как и среди заголовщиков, поднялся бывший представитель второго дивизиона.
Командующий Северо-Кавказским военным округом Геннадий Трошев обязан первым местом Шамилю Басаеву. Генерал оставался едва ли не единственным, кто упорно настаивал на гибели террориста, тогда как другие представители компетентных органов осторожно предлагали дождаться весомых доказательств. Когда в конце месяца в интернете появилось интервью "воскресшего" Басаева, СМИ принялись цитировать прежние высказывания Трошева, обеспечив генералу прирост рейтинга.
Второе место занял генпрокурор Владимир Устинов, добившийся наибольшего прогресса (плюс 27 позиций). У него в мае достижений было гораздо больше: доклад в Совете федерации о борьбе с коррупцией, расследование теракта в Каспийске и разгона пикета рыбаков во Владивостоке, несколько совещаний у президента. Не остался незамеченным и приказ генпрокурора "Об усилении борьбы с проявлениями фашизма", на который объекты этой борьбы ответили закладкой взрывного устройства под антисемитским плакатом на 32-м километре Киевского шоссе.
Тройку самых цитируемых замкнул Александр Вешняков. В прошлом рейтинге "Власть" отмечала, что всплески и провалы у председателя Центризбиркома строго чередуются: в январе и марте он возглавлял номинацию "Авторитеты", в феврале и апреле вылетал во второй дивизион. В мае эта закономерность подтвердилась. Вешняков активно откомментировал в прессе принятие новой редакции закона о гарантиях избирательных прав и вернулся в число 50 лучших. Правда, первым он не стал, но уступил лидеру совсем немного. А в июне главе ЦИКа, похоже, снова надо готовиться к худшему. Спасти его рейтинг может лишь обсуждение нового закона о выборах в Госдуму, который Вешняков обещал внести в нижнюю палату в начале месяца.
Отдельного упоминания заслуживают и политики, занявшие четвертое и пятое места. Спикеру Совета федерации Сергею Миронову успех в этой номинации приносят не столько частые поездки по стране и за рубеж, сколько привычка беспрестанно высказываться в ходе этих поездок на самые животрепещущие темы. А Ахмаду Кадырову давать комментарии журналистам было в мае не только полезно, но и приятно, ведь речь чаще всего шла об указе Путина о расширении полномочий главы Чечни.
Среди представителей второго дивизиона отличился глава Уральской горно-металлургической компании Искандар Махмудов, получивший более 66%. Но тут сработал закон малых чисел. СМИ в мае упоминали Махмудова лишь трижды, поэтому всего двух цитат оказалось достаточно для столь высокого результата.
Табл. 3
В табл. 1 цитируемость политика сравнивается с аналогичным президентским показателем.
В табл. 3 цитируемость политика сравнивается с его общей упоминаемостью. Тот, у кого среди всех упоминаний больше доля прямых или косвенных цитат, занимает более высокое место.
Данные в колонке "Авторитеты" указаны в процентах. В колонке "Цитируемость" указано место, занятое политиком по соответствующему параметру в табл. 1.
В скобках указывается место, занятое в предыдущем месяце.
Воротилы
В рейтинге "Воротилы", призванном оценить экономическую активность его участников, похоже, появилась новая устойчивая связка лидеров — второй месяц номинацию возглавляют Сергей Игнатьев и Сергей Степашин. Правда, и глава Центробанка, и председатель Счетной палаты ухудшили свои апрельские показатели, но с учетом праздников это вполне объяснимо. Зато прибавил Александр Починок, которому три дополнительных процентных пункта позволили впервые войти в призовую тройку среди воротил. Этого успеха министр труда добился благодаря продолжающимся дискуссиям вокруг пенсионной реформы, а также в связи с обсуждением в правительстве проблем отечественной металлургии, которой грозят массовые увольнения.
Стоит также отметить несгибаемого Виктора Геращенко, который и через два месяца после отставки остается одним из главных российских воротил. Неплохой майский рейтинг ему обеспечили не только традиционные сравнения старого и нового руководства ЦБ, но и слухи о возможном избрании Геращенко президентом Ассоциации российских банков. А вот успех Амана Тулеева и Михаила Ходорковского, вошедших в первую десятку, скорее временный: кемеровский губернатор в мае искал деньги на ликвидацию последствий разрушительного урагана, а глава ЮКОСа блеснул на встрече президента с руководством РСПП.
Наибольшего прогресса добился полпред президента в Южном федеральном округе Виктор Казанцев (плюс 23 места). Темы мероприятий, в которых он участвовал в мае, были сплошь денежными: совещание в сочинской резиденции Путина по проблемам социально-экономического развития Юга России, обсуждение вопроса о возвращении беженцев в Чечню на переговорах с Ахмадом Кадыровым, инспекционная поездка в строящийся международный морской порт в Махачкале.
Отличились также Михаил Лесин и Алексей Гордеев (плюс 18 позиций). Министр печати упоминался в прессе в денежном контексте в связи с выдачей лицензии "Медиа-социуму", а вице-премьер удачно поговорил с президентом о перспективах отечественного агропрома в свете решений последних саммитов Россия--США и Россия--ЕС. А вот Виктор Христенко опустился на 34 позиции. Судя по всему, майский отпуск сказался в первую очередь именно на финансовой стороне его деятельности.
В рейтинге воротил обычно бывает наибольшее количество участников, которые могли бы войти в число лидеров номинации, если бы не слишком низкая общая упоминаемость. В мае эта традиция сохранилась — первые восемь мест занимают представители второго дивизиона. Лучший из них, белгородский губернатор Евгений Савченко (50%), мог бы опередить Игнатьева более чем на 20 процентных пунктов, но 148-е место по общей упоминаемости не оставило ему шансов на победу.
Табл. 4
В табл. 1 упоминаемость политика в денежном контексте сравнивается с аналогичным президентским показателем.
В табл. 4 денежная совместимость политика сравнивается с его общей упоминаемостью. Тот, у кого среди всех контекстов больше доля денежных, занимает более высокое место.
Данные в колонке "Воротилы" указаны в процентах. В колонке "Деньги" указано место, занятое политиком по соответствующему параметру в табл. 1.
В скобках указывается место, занятое в предыдущем месяце.
Придворные
В номинации "Придворные", позволяющей оценить самостоятельность политиков, вот уже четвертый месяц борьба идет лишь за места начиная с третьего: первое автоматически зарезервировано за Владимиром Путиным, а второе прочно занял глава его администрации Александр Волошин. Чтобы оставаться вне конкуренции, ему, как показывает практика, достаточно лишь посещать большинство мероприятий с участием шефа.
А вот секретарю Совета безопасности Владимиру Рушайло для вхождения в первую тройку пришлось не только регулярно бывать на совещаниях у президента, но и поработать индивидуально. Поездки в Нижний Новгород, Казань и Ереван, где секретарь Совбеза неустанно проводил в жизнь политику Путина, позволили ему вернуться в первый дивизион и повторить свой февральский "бронзовый" успех среди придворных.
Но главным героем мая стал все же не он, а посол России на Украине Виктор Черномырдин. Во-первых, он выиграл Кубок прогресса, поднявшись сразу на 30 ступеней; а во-вторых — выжал максимум из двух "профильных" событий: встречи российского и украинского президентов в Сочи и саммита Россия--США (Черномырдин участвовал в ряде мероприятий, организованных в рамках визита Джорджа Буша в Россию). Весьма кстати оказалась для экс-премьера и новая инициатива КПРФ о вотуме недоверия правительству: многие СМИ вспоминали о том, как левые в свое время пытались снять Черномырдина.
На 21 позицию приблизился к президенту Сергей Иванов, неизменно упоминавшийся в связке с Путиным в материалах о подготовке и проведении саммитов Россия--США и Россия--НАТО. Виктор Христенко, который, как уже говорилось, резко сдал по общей упоминаемости и в рейтинге воротил, компенсировал сбой подъемом на 20 мест в номинации "Придворные". Этому способствовало его участие в другом саммите — Россия--ЕС.
Очень любопытно падение на 32 позиции Михаила Лесина — судя по всему, в задержке с выдачей лицензии на вещание на шестом телеканале журналисты "руку Кремля" не усмотрели. На 17 мест опустился Борис Березовский, который в мае сосредоточился на борьбе против новых владельцев шестого канала и несколько отвлекся от критики путинского режима. А еще один оппозиционер, лидер СПС Борис Немцов, и вовсе покинул первый дивизион.
Во втором дивизионе в мае нашлись сразу три политика, повторившие абсолютный (стопроцентный) рекорд: президент Чувашии Николай Федоров, замглавы администрации президента Александр Абрамов и экс-глава думского комитета по промышленности Юрий Маслюков. Но об уровне их упоминаемости красноречиво свидетельствует хотя бы тот факт, что, например, Федорова в майских СМИ упомянули один-единственный раз.
Табл. 5
В табл. 1 количество материалов СМИ, в которых упоминаются и политик, и президент, фактически сравнивается с упоминаемостью президента (показатель "Рядом с П" для Владимира Путина совпадает с показателем "Упоминаемость"). Несколько огрубляя, можно сказать, что табл. 1 дает представление о том, какое место в жизни президента занимает политик.
В табл. 5 совместная упоминаемость политика и президента сравнивается с общей упоминаемостью политика. Также несколько огрубляя, можно сказать, что табл. 5 дает представление о том, какое место в жизни политика занимает президент.
Тот, у кого среди всех контекстов больше доля президентских, занимает более высокое место.
Данные в колонке "Придворные" указаны в процентах. В колонке "Рядом с П" указано место, занятое политиком по соответствующему параметру в табл. 1. В скобках указывается место, занятое в предыдущем месяце.
Итог: чекист пошел на рекорд
Итоговый рейтинг, составленный с учетом всех девяти параметров, показывает, что премьер Касьянов, как и предполагала "Власть", сумел оправиться от апрельского провала (тогда он потерял 841 балл — почти половину своей мартовской суммы) и немного сократил отставание от президента. Правда, отрыв Путина все равно остается более чем внушительным.
Хорошо поработали в отчетном месяце Владимир Устинов, Сергей Шойгу и Алексей Кудрин, прибавившие от 118 до 181 балла. Юрий Лужков потерял 33 балла, но все равно умудрился сменить апрельское пятое место на майское четвертое. Большего можно было ожидать от Сергея Иванова, который, несмотря на прогресс по общей упоминаемости, в итоговом рейтинге набрал на 84 балла меньше, чем в прошлом месяце. Министру обороны, видимо, нужно брать пример со своего однофамильца из МИДа, который блестяще воспользовался обилием международных событий и, закрепившись в первой десятке, едва не вытеснил главу военного ведомства с обжитого им шестого места.
А главным героем мая стал Николай Патрушев. Хотя по абсолютному приросту рейтинга он занял лишь четвертое место, его относительные показатели оказались лучшими среди двадцати лидеров списка: месячный прирост почти в 1200%! В мае, правда, были и более внушительные взлеты, но в основном это касалось политиков с куда меньшей общей упоминаемостью. Например, генерал Трошев прибавил аж 1433%, но он в итоговом рейтинге лишь 24-й, а по общей упоминаемости и вовсе 45-й.
Оправдался прогноз "Власти" в отношении товарищей Селезнева и Зюганова, чьи рейтинги в мае сильно упали. Особенно не повезло спикеру Госдумы, который потерял чуть ли не в два раза больше, чем приобрел месяцем ранее, и стал абсолютным рекордсменом мая по утраченным очкам.
В заключение несколько слов об июньских планах. Отыграть у президента хотя бы пару сотен баллов премьеру будет тяжело: рабочих дней в июне больше, чем в мае, да и праздник 12 июня поможет скорее Путину, нежели Касьянову. Селезнев и Зюганов продолжат падение, если только не придумают себе повод для скандала вроде создания новой думской группы. Сохранят свои позиции те, кто связан с подготовкой бюджета-2003. Ну и, наконец, едва ли не все участники рейтинга будут часто мелькать в СМИ в связи с чемпионатом мира по футболу. Так что в следующем рейтинге возможны большие неожиданности.
Табл. 6
В табл. 6 приведен общий ретинг ньюсмейкеров, вычисленный по совокупности всех параметров табл. 1-5.
Итоговый рейтинг рассчитан следующим образом.
Для каждого политика выведен средний показатель по табл. 1 (показатели из табл. 1 суммируются, сумма делится на 5).
К этому среднему показателю политики, вошедшие в табл. 1, прибавляются бонусы, рассчитанные на основе табл. 2-5.
Расчет бонусов приведем на примере таблицы "Авторитеты".
Авторитетность политика, занявшего первое место в этой таблице, принимается за 1. Авторитетность остальных политиков пересчитываются в долях от показателя лидера. Таким образом, каждый политик получает некий коэффициент авторитетности. Этот коэффициент умножается на показатель политика по парному для "Авторитетов" параметру "Цитируемость". Полученное произведение и есть бонус.
Бонусы по параметрам "Заголовщики", "Воротилы" и "Придворные" рассчитываются аналогичным образом.
После того как все бонусы прибавлены, полученная сумма для удобства восприятия умножается на 10.
Описанную процедуру можно представить в виде следующей формулы:
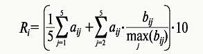
где i — место ньюсмейкера по упоминаемости (Владимир Путин имеет индекс i=1); j — номер параметра рейтинга (от "Упоминаемости" (j=1) до "Рядом с П" (j=5)); aij — количество материалов СМИ, на основе которого рассчитан показатель по j-му параметру i-го ньюсмейкера; Ri — итоговый показатель i-го ньюсмейкера.
Замеры производились по ресурсам Национальной электронной библиотеки. При подсчете учитывались публикации в следующих СМИ
Газеты: Аргументы и факты, Ведомости, Версия, Вечерняя Москва, Время MN, Время новостей, Гудок, Газета, Завтра, Известия, Коммерсантъ, Комсомольская правда, Красная звезда, Литературная газета, Московская правда, Московские новости, Московский комсомолец, Независимая газета, Новая газета, Новые Известия, Общая газета, Парламентская газета, Российская газета, Совершенно секретно, Советская Россия, Трибуна, Труд, Экономика и жизнь
Журналы: Еженедельный журнал, Итоги, Коммерсантъ-Власть, Коммерсантъ-Деньги, Компания, Огонек, Профиль, Российская Федерация сегодня, Эксперт
Новостные выпуски теле- и радиокомпаний: ОРТ, РТР, ТВЦ, НТВ, ТВ-6, Радио "Маяк", Радио России, Радио "Эхо Москвы" (мониторинг Центра региональных прикладных исследований).
В разработке проекта принимали участие Сергей Никулин, Андрей Моченов, Павел Черников
Статистика: Михаил Лукин, Анна и Павел Черниковы
Для оценки влиятельности политиков "Власть" применяет метод статистического исследования российских СМИ, которое проводится по девяти параметрам. Смысл и способ расчета каждого параметра излагаются в комментариях к таблицам 1-5. Итоговый рейтинг приводится в таблице 6. Рейтинг рассчитан для 182 российских политиков и бизнесменов, в число которых входят руководители всех ветвей власти, ведущие министры, главы регионов, крупнейшие бизнесмены и финансисты.
![]() |
Из-за затяжных праздников общее количество материалов СМИ в мае значительно сократилось — 17 530 против 23 870 в апреле. Соответственно, уменьшились и показатели Владимира Путина, относительно которых рассчитываются все результаты в таблице 1. А это, в свою очередь, дало участникам рейтинга шанс заметно улучшить свои позиции. Однако воспользоваться этим шансом удалось лишь немногим.
Не сумел развить свой апрельский успех спикер Госдумы Геннадий Селезнев, ворвавшийся в тройку лидеров благодаря скандальному переделу пакетного соглашения о распределении руководящих думских должностей. Скандал вокруг спикера и двух его коллег, не пожелавших выполнять решение пленума ЦК КПРФ об уходе со своих постов, в мае завершился исключением всех "диссидентов" из КПРФ. Несмотря на это, Селезнев по всем параметрам резко сдал и, если бы его основные конкуренты тоже не выступили так слабо, вполне мог бы покинуть пятерку лидеров. Особенно катастрофическим выглядит провал спикера в номинации "Деньги", где он впервые вылетел из первой сотни.
Покинутое Селезневым место на пьедестале тут же занял Юрий Лужков, отличающийся завидной стабильностью: за пять месяцев мэр Москвы дважды был четвертым по общей упоминаемости и трижды — третьим. Правда, его упоминаемость в мае также снизилась (на 6,8 процентного пункта), но традиционно бурная деятельность по управлению городским хозяйством и запрет на импорт в столицу "ножек Буша" обеспечили ему место в призовой тройке. Любопытно также, что со временем Лужков медленно, но верно отдаляется от президента (параметр "Рядом с П"): восьмое место в январе, 10-е — в апреле и, наконец, 16-е — в мае.
Естественно, что при столь пассивном поведении ближайших преследователей Михаилу Касьянову за свое второе место в мае можно было не беспокоиться. Премьер даже слегка притормозил по общей упоминаемости (минус четыре процентных пункта), зато резко прибавил по профильному параметру "Деньги" (почти 27 пунктов). Правда, до собственного февральского рекорда в этой номинации (117,7% по отношению к президенту) ему далеко.
Участники рейтинга, занимающие по общей упоминаемости места с пятого по десятое, идут достаточно плотной группой. Вернулись в десятку Игорь и Сергей Ивановы, отличившиеся при проведении крупнейших международных мероприятий — встреч на высшем уровне Россия--США, Россия--НАТО и Россия--ЕС. При этом министр иностранных дел чаще, чем глава военного ведомства, фигурировал в заголовках и к тому же стал единственным среди десяти наиболее упоминаемых политиков, кто хоть немного улучшил свой апрельский результат.
Особо стоит отметить Алексея Кудрина, который, стартовав в январе с 26-й позиции, затем неуклонно поднимался в таблице упоминаемости и в отчетном месяце замкнул пятерку лидеров. Причем первые десять дней мая вице-премьер и министр финансов находился в краткосрочном отпуске, но своей последующей активностью сумел компенсировать этот пробел. СМИ особенно отметили его участие в обсуждении в Думе поправок к закону о ЦБ, работу над концепцией бюджета-2003 и нашумевшее заявление о планах слияния Внешторгбанка и Внешэкономбанка. А вот для его коллеги по вице-премьерскому цеху Виктора Христенко те же десять отпускных дней обернулись потерей 2,5 процентного пункта и падением на шесть мест в рейтинге.
Из представителей первого дивизиона наибольшего прогресса в мае добился директор ФСБ Николай Патрушев, поднявшийся на 62 места. О нем журналисты вспоминали не только в связи с его прямыми обязанностями по борьбе с терроризмом (особенно после теракта в Каспийске 9 мая), но и из-за победы его подчиненного, главы Смоленского УФСБ Виктора Маслова, на выборах губернатора Смоленской области.
Среди самых больших неудачников месяца оказался глава Орловской области Егор Строев, который, блеснув на апрельском заседании Госсовета по земельному вопросу, затем ушел в тень и, опустившись на 57 позиций, покинул первый дивизион.
Абсолютными победителями Кубка прогресса, как это нередко бывает, стали политики, не входящие в первую полусотню. На 97 мест поднялся губернатор Приморья Сергей Дарькин (53-е место по упоминаемости). Он удачно позаботился о сотрудниках "Дальморепродукта", которым руководство задерживало зарплату, и расследовании действий милиции во время разгона рыбацкого пикета. А глава Дагестана Магомедали Магомедов (52-е место) взлетел сразу на 103 позиции после того, как стал одним из главных действующих лиц в репортажах о теракте в Каспийске.
ДМИТРИЙ КАМЫШЕВ
Всего материалов 17530
Президентские абсолютные показатели
Упоминаемость 2400
Заголовки 1335
Цитируемость 421
Деньги 159
Рядом с П 2400
Российские ньюсмейкеры в долях от президента
Табл. 1
| Место | Деятель | Упомина-емость | Заголовки | Цитируемость | Деньги | Рядом с П |
|---|---|---|---|---|---|---|
| 1 (1) | Путин Владимир | 100,00 | 100,00 (1) | 100,00 (1) | 100,00 (1) | 100,00 (1) |
| 2 (2) | Касьянов Михаил | 32,13 | 30,11 (2) | 34,68 (2) | 70,44 (2) | 11,54 (2) |
| 3 (4) | Лужков Юрий | 14,08 | 10,11 (6) | 16,39 (4) | 23,27 (4) | 1,75 (16) |
| 4 (3) | Селезнев Геннадий | 13,00 | 12,28 (3) | 14,73 (5) | 0,63 (101) | 3,54 (8) |
| 5 (9) | Кудрин Алексей | 11,21 | 7,42 (8) | 16,86 (3) | 37,11 (3) | 4,88 (4) |
| 6 (5) | Зюганов Геннадий | 10,88 | 6,82 (10) | 13,30 (10) | 3,77 (37) | 2,50 (10) |
| 7 (6) | Ельцин Борис | 10,71 | 2,40 (25) | 0,95 (77) | 10,06 (10) | 5,29 (3) |
| 8 (11) | Иванов Игорь | 10,21 | 11,61 (4) | 13,54 (7) | 3,14 (42) | 4,04 (6) |
| 9 (10) | Иванов Сергей | 9,25 | 9,89 (7) | 12,11 (11) | 10,69 (9) | 4,17 (5) |
| 10 (7) | Греф Герман | 8,79 | 3,60 (15) | 8,79 (12) | 10,69 (7) | 3,88 (7) |
| 11 (18) | Шойгу Сергей | 8,58 | 10,19 (5) | 13,78 (6) | 8,18 (14) | 1,58 (19) |
| 12 (29) | Алексий II | 6,88 | 6,74 (11) | 4,04 (26) | 1,89 (73) | 1,42 (23) |
| 13 (35) | Устинов Владимир | 6,33 | 6,29 (12) | 13,54 (8) | 2,52 (50) | 1,13 (30) |
| 14 (16) | Миронов Сергей | 6,29 | 5,32 (13) | 13,30 (9) | 4,40 (27) | 2,42 (11) |
| 15 (77) | Патрушев Николай | 5,92 | 7,04 (9) | 8,08 (14) | 1,26 (86) | 2,58 (9) |
| 16 (13) | Чубайс Анатолий | 5,33 | 2,02 (30) | 3,09 (36) | 7,55 (15) | 1,92 (13) |
| 17 (14) | Жириновский Владимир | 4,92 | 2,25 (26) | 3,80 (27) | 5,03 (23) | 1,58 (20) |
| 18 (12) | Матвиенко Валентина | 4,46 | 2,62 (20) | 3,33 (32) | 8,18 (13) | 1,79 (15) |
| 19 (17) | Горбачев Михаил | 4,42 | 1,35 (43) | 1,66 (50) | 3,14 (43) | 2,00 (12) |
| 20 (37) | Кадыров Ахмад | 4,38 | 3,90 (14) | 8,31 (13) | 2,52 (54) | 1,00 (36) |
| 21 (59) | Клебанов Илья | 4,33 | 3,45 (16) | 3,56 (30) | 5,03 (24) | 0,42 (81) |
| 22 (79) | Квашнин Анатолий | 4,17 | 2,47 (23) | 5,23 (19) | 3,77 (30) | 1,21 (27) |
| 23 (26) | Березовский Борис | 4,13 | 1,27 (46) | 0,95 (81) | 6,92 (18) | 1,21 (28) |
| 24 (28) | Швыдкой Михаил | 3,88 | 1,87 (36) | 2,85 (39) | 3,77 (35) | 0,46 (75) |
| 25 (44) | Фетисов Вячеслав | 3,88 | 2,02 (31) | 2,61 (42) | 3,14 (40) | 1,33 (24) |
| 26 (20) | Христенко Виктор | 3,79 | 1,87 (33) | 4,75 (24) | 0,63 (119) | 1,50 (22) |
| 27 (34) | Киселев Евгений | 3,75 | 2,92 (19) | 4,75 (23) | 3,14 (41) | 0,79 (44) |
| 28 (19) | Гордеев Алексей | 3,71 | 2,55 (21) | 5,23 (22) | 3,77 (39) | 1,25 (26) |
| 29 (15) | Грызлов Борис | 3,67 | 3,37 (17) | 3,56 (29) | 3,77 (28) | 1,29 (25) |
| 30 (47) | Лесин Михаил | 3,58 | 2,25 (28) | 6,65 (15) | 3,14 (47) | 0,58 (65) |
| 31 (69) | Юсуфов Игорь | 3,54 | 1,87 (34) | 5,23 (21) | 3,77 (36) | 0,96 (38) |
| 32 (38) | Тулеев Аман | 3,46 | 3,22 (18) | 2,38 (47) | 9,43 (11) | 0,79 (47) |
| 33 (43) | Казанцев Виктор | 3,42 | 2,47 (24) | 1,66 (51) | 4,40 (26) | 1,58 (18) |
| 34 (24) | Починок Александр | 3,21 | 2,25 (27) | 5,70 (16) | 11,32 (5) | 0,38 (86) |
| 35 (27) | Примаков Евгений | 3,17 | 1,35 (42) | 2,85 (38) | 1,26 (76) | 1,08 (32) |
| 36 (33) | Степашин Сергей | 2,88 | 2,55 (22) | 5,46 (17) | 10,69 (8) | 1,58 (17) |
| 37 (39) | Миллер Алексей | 2,83 | 1,72 (37) | 1,43 (62) | 3,14 (46) | 0,67 (55) |
| 38 (49) | Гуцериев Михаил | 2,63 | 0,00 (165) | 0,24 (142) | 0,00 (146) | 0,71 (52) |
| 39 (21) | Игнатьев Сергей | 2,58 | 0,97 (56) | 2,61 (44) | 11,32 (6) | 0,38 (88) |
| 40 (50) | Волошин Александр | 2,58 | 1,20 (50) | 0,24 (137) | 1,26 (81) | 1,79 (14) |
| 41 (56) | Рушайло Владимир | 2,58 | 1,87 (35) | 3,09 (34) | 0,63 (111) | 1,54 (21) |
| 42 (42) | Черномырдин Виктор | 2,50 | 0,75 (67) | 0,48 (104) | 3,77 (33) | 1,17 (29) |
| 43 (92) | Тоцкий Константин | 2,50 | 1,72 (38) | 3,33 (31) | 1,26 (82) | 0,58 (62) |
| 44 (51) | Вешняков Александр | 2,46 | 1,57 (39) | 5,23 (20) | 0,00 (163) | 0,63 (56) |
| 45 (98) | Трошев Геннадий | 2,46 | 2,10 (29) | 5,46 (18) | 0,63 (112) | 0,42 (78) |
| 46 (66) | Ходорковский Михаил | 2,42 | 0,60 (80) | 2,61 (43) | 6,29 (20) | 0,92 (39) |
| 47 (58) | Жуков Александр | 2,38 | 0,60 (79) | 4,28 (25) | 3,77 (31) | 0,67 (54) |
| 48 (63) | Абрамович Роман | 2,38 | 0,90 (61) | 0,24 (126) | 3,77 (29) | 0,79 (45) |
| 49 (30) | Геращенко Виктор | 2,33 | 1,42 (41) | 1,19 (69) | 7,55 (17) | 0,17 (125) |
| 50 (89) | Хлопонин Александр | 2,21 | 1,27 (45) | 1,66 (52) | 0,63 (117) | 0,50 (73) |
Статистические данные собраны по 183 российским политикам. В табл. 1-5 приводятся данные по 50 наиболее упоминаемым.
Под "Упоминаемостью" понимается количество материалов СМИ, в которых встречается имя политика.
Параметр "Заголовки" оценивает "качественную" упоминаемость политика: он рассчитывается исходя из упоминаемости политика в заголовках и первых фразах сообщений прессы. Этот параметр позволяет отсечь случайные упоминания и зафиксировать лишь те сообщения, в которых политик является одним из главных героев.
Параметр "Цитируемость" оценивает авторитетность политика: фиксируются те сообщения СМИ, в которых в том или ином виде содержится ссылка на слова политика.
Параметр "Деньги" косвенным образом оценивает "экономическую активность" политика. Фиксируются сообщения, в которых его имя упоминается в контексте тех или иных денежных сумм.
Параметр "Рядом с П" характеризует совместную встречаемость имен политика и президента страны.
В табл. 1 абсолютные показатели президента по каждому из параметров считаются эталонными и принимаются за 100%. Показатели остальных политиков считаются в процентах от соответствующих показателей Владимира Путина.
Политики в табл. 1 ранжированы по параметру "Упоминаемость". В скобках указывается место в рейтинге по другим параметрам. В колонке "Место" в скобках указывается место по "Упоминаемости" в прошлом месяце.
Заголовщики
В номинации "Заголовщики", помогающей выяснить, кто из участников рейтинга чаще других становился главным героем публикаций СМИ, в мае произошло сразу несколько событий.
![]() |
Во-вторых, прибавил Владимир Путин, показавший рекордный для себя результат и вернувшийся на пятое место, которое он занимал в первом, январском рейтинге. Этим успехом он во многом обязан редкой концентрации в одном месяце сразу нескольких топовых политических событий, в первую очередь саммитов. Помогли главе государства и праздники: общее число публикаций снизилось, а вес каждого заголовка, соответственно, возрос. Впрочем, не стоит приуменьшать и заслуги самого Путина, ведь президенту, которого в прессе поминают часто и не всегда по делу, улучшать относительные показатели гораздо сложнее, чем другим участникам рейтинга.
Наконец, третьим событием мая стала победа в Кубке прогресса патриарха Алексия II, поднявшегося на 28 позиций. В принципе этот успех его святейшества был вполне предсказуем. В январе, когда в России праздновали Рождество, Алексий II был в рейтинге шестым, а в мае, на который выпала Пасха, почти повторил этот результат.
Среди других "прогрессистов" мая можно отметить связку Евгений Киселев--Михаил Лесин, шагнувшую вверх соответственно на 23 и 18 мест в связи с выдачей "Медиа-социуму" лицензии на вещание на шестом телеканале, а также Виктора Казанцева (плюс 17 позиций). Полпред президента в Южном федеральном округе успел отметиться и в Сочи (совещание у президента), и в Магасе (инаугурация нового президента Ингушетии Мурада Зязикова), и в Махачкале (инспекционная поездка в Дагестан). Хуже всех в номинации выступил Вячеслав Фетисов (минус 30 позиций), что тоже объяснимо: с одной стороны, общая упоминаемость нового главы Госкомспорта в мае выросла (см. таблицу 1), с другой — его назначение на этот пост перестало быть первополосной новостью.
Среди малоупоминаемых участников рейтинга сильных заголовщиков на этот раз не нашлось. Даже если бы в номинации учитывались результаты представителей второго дивизиона, вклиниться в пятерку лидеров смог бы лишь губернатор Ленинградской области Валерий Сердюков (60%).
Табл. 2
| Место | Деятель | Заголовщики | Заголовки |
|---|---|---|---|
| 1 (--) | Патрушев Николай | 66,20 | 9 |
| 2 (13) | Шойгу Сергей | 66,02 | 5 |
| 3 (5) | Иванов Игорь | 63,27 | 4 |
| 4 (2) | Иванов Сергей | 59,46 | 7 |
| 5 (9) | Путин Владимир | 55,62 | 1 |
| 6 (16) | Устинов Владимир | 55,26 | 12 |
| 7 (35) | Алексий II | 54,55 | 11 |
| 8 (3) | Селезнев Геннадий | 52,56 | 3 |
| 9 (10) | Касьянов Михаил | 52,14 | 2 |
| 10 (19) | Тулеев Аман | 51,81 | 18 |
| 11 (8) | Грызлов Борис | 51,14 | 17 |
| 12 (23) | Кадыров Ахмад | 49,52 | 14 |
| 13 (11) | Степашин Сергей | 49,28 | 22 |
| 14 (--) | Трошев Геннадий | 47,46 | 29 |
| 15 (22) | Миронов Сергей | 47,02 | 13 |
| 16 (--) | Клебанов Илья | 44,23 | 16 |
| 17 (40) | Киселев Евгений | 43,33 | 19 |
| 18 (--) | Рушайло Владимир | 40,32 | 35 |
| 19 (36) | Казанцев Виктор | 40,24 | 24 |
| 20 (25) | Лужков Юрий | 39,94 | 6 |
| 21 (18) | Починок Александр | 38,96 | 27 |
| 22 (--) | Тоцкий Константин | 38,33 | 38 |
| 23 (6) | Гордеев Алексей | 38,20 | 21 |
| 24 (29) | Кудрин Алексей | 36,80 | 8 |
| 25 (--) | Вешняков Александр | 35,59 | 39 |
| 26 (44) | Лесин Михаил | 34,88 | 28 |
| 27 (26) | Зюганов Геннадий | 34,87 | 10 |
| 28 (37) | Геращенко Виктор | 33,93 | 41 |
| 29 (20) | Миллер Алексей | 33,82 | 37 |
| 30 (--) | Квашнин Анатолий | 33,00 | 23 |
| 31 (17) | Матвиенко Валентина | 32,71 | 20 |
| 32 (--) | Хлопонин Александр | 32,08 | 45 |
| 33 (--) | Юсуфов Игорь | 29,41 | 34 |
| 34 (4) | Фетисов Вячеслав | 29,03 | 31 |
| 35 (27) | Христенко Виктор | 27,47 | 33 |
| 36 (42) | Швыдкой Михаил | 26,88 | 36 |
| 37 (33) | Волошин Александр | 25,81 | 50 |
| 38 (34) | Жириновский Владимир | 25,42 | 26 |
| 39 (46) | Примаков Евгений | 23,68 | 42 |
| 40 (24) | Греф Герман | 22,75 | 15 |
| 41 (28) | Чубайс Анатолий | 21,09 | 30 |
| 42 (--) | Абрамович Роман | 21,05 | 61 |
| 43 (14) | Игнатьев Сергей | 20,97 | 56 |
| 44 (43) | Березовский Борис | 17,17 | 46 |
| 45 (48) | Горбачев Михаил | 16,98 | 43 |
| 46 (38) | Черномырдин Виктор | 16,67 | 67 |
| 47 (--) | Жуков Александр | 14,04 | 79 |
| 48 (--) | Ходорковский Михаил | 13,79 | 80 |
| 49 (47) | Ельцин Борис | 12,45 | 25 |
| 50 (50) | Гуцериев Михаил | 0,00 | 165 |
В табл. 1 "качественная" упоминаемость политика сравнивается с аналогичным президентским показателем.
В табл. 2 "качественная" упоминаемость политика сравнивается с его общей упоминаемостью. Тот, у кого среди всех упоминаний больше доля упоминаний в заголовках и первых фразах сообщений СМИ, занимает более высокое место.
Данные в колонке "Заголовщики" указаны в процентах. В колонке "Заголовки" указано место, занятое политиком по соответствующему параметру в табл. 1. В скобках указывается место, занятое в предыдущем месяце.
Авторитеты
В номинации "Авторитеты", которая отражает внимание СМИ к мнениям политиков и бизнесменов, также произошла смена лидера. Причем на первую строчку, как и среди заголовщиков, поднялся бывший представитель второго дивизиона.
![]() |
Второе место занял генпрокурор Владимир Устинов, добившийся наибольшего прогресса (плюс 27 позиций). У него в мае достижений было гораздо больше: доклад в Совете федерации о борьбе с коррупцией, расследование теракта в Каспийске и разгона пикета рыбаков во Владивостоке, несколько совещаний у президента. Не остался незамеченным и приказ генпрокурора "Об усилении борьбы с проявлениями фашизма", на который объекты этой борьбы ответили закладкой взрывного устройства под антисемитским плакатом на 32-м километре Киевского шоссе.
Тройку самых цитируемых замкнул Александр Вешняков. В прошлом рейтинге "Власть" отмечала, что всплески и провалы у председателя Центризбиркома строго чередуются: в январе и марте он возглавлял номинацию "Авторитеты", в феврале и апреле вылетал во второй дивизион. В мае эта закономерность подтвердилась. Вешняков активно откомментировал в прессе принятие новой редакции закона о гарантиях избирательных прав и вернулся в число 50 лучших. Правда, первым он не стал, но уступил лидеру совсем немного. А в июне главе ЦИКа, похоже, снова надо готовиться к худшему. Спасти его рейтинг может лишь обсуждение нового закона о выборах в Госдуму, который Вешняков обещал внести в нижнюю палату в начале месяца.
Отдельного упоминания заслуживают и политики, занявшие четвертое и пятое места. Спикеру Совета федерации Сергею Миронову успех в этой номинации приносят не столько частые поездки по стране и за рубеж, сколько привычка беспрестанно высказываться в ходе этих поездок на самые животрепещущие темы. А Ахмаду Кадырову давать комментарии журналистам было в мае не только полезно, но и приятно, ведь речь чаще всего шла об указе Путина о расширении полномочий главы Чечни.
Среди представителей второго дивизиона отличился глава Уральской горно-металлургической компании Искандар Махмудов, получивший более 66%. Но тут сработал закон малых чисел. СМИ в мае упоминали Махмудова лишь трижды, поэтому всего двух цитат оказалось достаточно для столь высокого результата.
Табл. 3
| Место | Деятель | Авторитеты | Цитируемость |
|---|---|---|---|
| 1 (--) | Трошев Геннадий | 38,98 | 18 |
| 2 (29) | Устинов Владимир | 37,50 | 8 |
| 3 (--) | Вешняков Александр | 37,29 | 20 |
| 4 (9) | Миронов Сергей | 37,09 | 9 |
| 5 (13) | Кадыров Ахмад | 33,33 | 13 |
| 6 (11) | Степашин Сергей | 33,33 | 17 |
| 7 (10) | Лесин Михаил | 32,56 | 15 |
| 8 (--) | Жуков Александр | 31,58 | 25 |
| 9 (14) | Починок Александр | 31,17 | 16 |
| 10 (16) | Шойгу Сергей | 28,16 | 6 |
| 11 (6) | Кудрин Алексей | 26,39 | 3 |
| 12 (--) | Юсуфов Игорь | 25,88 | 21 |
| 13 (1) | Гордеев Алексей | 24,72 | 22 |
| 14 (--) | Патрушев Николай | 23,94 | 14 |
| 15 (--) | Тоцкий Константин | 23,33 | 31 |
| 16 (22) | Иванов Игорь | 23,27 | 7 |
| 17 (3) | Иванов Сергей | 22,97 | 11 |
| 18 (33) | Киселев Евгений | 22,22 | 23 |
| 19 (--) | Квашнин Анатолий | 22,00 | 19 |
| 20 (17) | Христенко Виктор | 21,98 | 24 |
| 21 (21) | Зюганов Геннадий | 21,46 | 10 |
| 22 (--) | Рушайло Владимир | 20,97 | 34 |
| 23 (30) | Лужков Юрий | 20,41 | 4 |
| 24 (12) | Селезнев Геннадий | 19,87 | 5 |
| 25 (--) | Ходорковский Михаил | 18,97 | 43 |
| 26 (31) | Касьянов Михаил | 18,94 | 2 |
| 27 (15) | Игнатьев Сергей | 17,74 | 44 |
| 28 (27) | Путин Владимир | 17,54 | 1 |
| 29 (18) | Греф Герман | 17,54 | 12 |
| 30 (25) | Грызлов Борис | 17,05 | 29 |
| 31 (34) | Примаков Евгений | 15,79 | 38 |
| 32 (--) | Клебанов Илья | 14,42 | 30 |
| 33 (36) | Жириновский Владимир | 13,56 | 27 |
| 34 (--) | Хлопонин Александр | 13,21 | 52 |
| 35 (19) | Матвиенко Валентина | 13,08 | 32 |
| 36 (37) | Швыдкой Михаил | 12,90 | 39 |
| 37 (7) | Тулеев Аман | 12,05 | 47 |
| 38 (32) | Фетисов Вячеслав | 11,83 | 42 |
| 39 (38) | Алексий II | 10,30 | 26 |
| 40 (24) | Чубайс Анатолий | 10,16 | 36 |
| 41 (40) | Геращенко Виктор | 8,93 | 69 |
| 42 (26) | Миллер Алексей | 8,82 | 62 |
| 43 (43) | Казанцев Виктор | 8,54 | 51 |
| 44 (49) | Горбачев Михаил | 6,60 | 50 |
| 45 (42) | Березовский Борис | 4,04 | 81 |
| 46 (45) | Черномырдин Виктор | 3,33 | 104 |
| 47 (--) | Абрамович Роман | 1,75 | 126 |
| 48 (47) | Волошин Александр | 1,61 | 137 |
| 49 (44) | Гуцериев Михаил | 1,59 | 142 |
| 50 (46) | Ельцин Борис | 1,56 | 77 |
В табл. 1 цитируемость политика сравнивается с аналогичным президентским показателем.
В табл. 3 цитируемость политика сравнивается с его общей упоминаемостью. Тот, у кого среди всех упоминаний больше доля прямых или косвенных цитат, занимает более высокое место.
Данные в колонке "Авторитеты" указаны в процентах. В колонке "Цитируемость" указано место, занятое политиком по соответствующему параметру в табл. 1.
В скобках указывается место, занятое в предыдущем месяце.
Воротилы
В рейтинге "Воротилы", призванном оценить экономическую активность его участников, похоже, появилась новая устойчивая связка лидеров — второй месяц номинацию возглавляют Сергей Игнатьев и Сергей Степашин. Правда, и глава Центробанка, и председатель Счетной палаты ухудшили свои апрельские показатели, но с учетом праздников это вполне объяснимо. Зато прибавил Александр Починок, которому три дополнительных процентных пункта позволили впервые войти в призовую тройку среди воротил. Этого успеха министр труда добился благодаря продолжающимся дискуссиям вокруг пенсионной реформы, а также в связи с обсуждением в правительстве проблем отечественной металлургии, которой грозят массовые увольнения.
![]() |
Наибольшего прогресса добился полпред президента в Южном федеральном округе Виктор Казанцев (плюс 23 места). Темы мероприятий, в которых он участвовал в мае, были сплошь денежными: совещание в сочинской резиденции Путина по проблемам социально-экономического развития Юга России, обсуждение вопроса о возвращении беженцев в Чечню на переговорах с Ахмадом Кадыровым, инспекционная поездка в строящийся международный морской порт в Махачкале.
Отличились также Михаил Лесин и Алексей Гордеев (плюс 18 позиций). Министр печати упоминался в прессе в денежном контексте в связи с выдачей лицензии "Медиа-социуму", а вице-премьер удачно поговорил с президентом о перспективах отечественного агропрома в свете решений последних саммитов Россия--США и Россия--ЕС. А вот Виктор Христенко опустился на 34 позиции. Судя по всему, майский отпуск сказался в первую очередь именно на финансовой стороне его деятельности.
В рейтинге воротил обычно бывает наибольшее количество участников, которые могли бы войти в число лидеров номинации, если бы не слишком низкая общая упоминаемость. В мае эта традиция сохранилась — первые восемь мест занимают представители второго дивизиона. Лучший из них, белгородский губернатор Евгений Савченко (50%), мог бы опередить Игнатьева более чем на 20 процентных пунктов, но 148-е место по общей упоминаемости не оставило ему шансов на победу.
Табл. 4
| Место | Деятель | Воротилы | Деньги |
|---|---|---|---|
| 1 (1) | Игнатьев Сергей | 29,03 | 6 |
| 2 (2) | Степашин Сергей | 24,64 | 8 |
| 3 (7) | Починок Александр | 23,38 | 5 |
| 4 (6) | Кудрин Алексей | 21,93 | 3 |
| 5 (5) | Геращенко Виктор | 21,43 | 17 |
| 6 (14) | Тулеев Аман | 18,07 | 11 |
| 7 (--) | Ходорковский Михаил | 17,24 | 20 |
| 8 (16) | Касьянов Михаил | 14,53 | 2 |
| 9 (10) | Матвиенко Валентина | 12,15 | 13 |
| 10 (11) | Березовский Борис | 11,11 | 18 |
| 11 (20) | Лужков Юрий | 10,95 | 4 |
| 12 (--) | Жуков Александр | 10,53 | 31 |
| 13 (--) | Абрамович Роман | 10,53 | 29 |
| 14 (18) | Черномырдин Виктор | 10,00 | 33 |
| 15 (9) | Чубайс Анатолий | 9,38 | 15 |
| 16 (39) | Казанцев Виктор | 8,54 | 26 |
| 17 (12) | Греф Герман | 8,06 | 7 |
| 18 (--) | Клебанов Илья | 7,69 | 24 |
| 19 (30) | Иванов Сергей | 7,66 | 9 |
| 20 (19) | Миллер Алексей | 7,35 | 46 |
| 21 (--) | Юсуфов Игорь | 7,06 | 36 |
| 22 (28) | Грызлов Борис | 6,82 | 28 |
| 23 (32) | Жириновский Владимир | 6,78 | 23 |
| 24 (42) | Гордеев Алексей | 6,74 | 39 |
| 25 (22) | Путин Владимир | 6,62 | 1 |
| 26 (21) | Швыдкой Михаил | 6,45 | 35 |
| 27 (40) | Шойгу Сергей | 6,31 | 14 |
| 28 (29) | Ельцин Борис | 6,23 | 10 |
| 29 (--) | Квашнин Анатолий | 6,00 | 30 |
| 30 (48) | Лесин Михаил | 5,81 | 47 |
| 31 (15) | Киселев Евгений | 5,56 | 41 |
| 32 (25) | Фетисов Вячеслав | 5,38 | 40 |
| 33 (23) | Горбачев Михаил | 4,72 | 43 |
| 34 (36) | Миронов Сергей | 4,64 | 27 |
| 35 (24) | Кадыров Ахмад | 3,81 | 54 |
| 36 (--) | Тоцкий Константин | 3,33 | 82 |
| 37 (47) | Волошин Александр | 3,23 | 81 |
| 38 (34) | Устинов Владимир | 2,63 | 50 |
| 39 (27) | Примаков Евгений | 2,63 | 76 |
| 40 (41) | Зюганов Геннадий | 2,30 | 37 |
| 41 (49) | Иванов Игорь | 2,04 | 42 |
| 42 (--) | Хлопонин Александр | 1,89 | 117 |
| 43 (33) | Алексий II | 1,82 | 73 |
| 44 (--) | Трошев Геннадий | 1,69 | 112 |
| 45 (--) | Рушайло Владимир | 1,61 | 111 |
| 46 (--) | Патрушев Николай | 1,41 | 86 |
| 47 (13) | Христенко Виктор | 1,10 | 119 |
| 48 (44) | Селезнев Геннадий | 0,32 | 101 |
| 49 (50) | Гуцериев Михаил | 0,00 | 146 |
| 50 (--) | Вешняков Александр | 0,00 | 163 |
В табл. 1 упоминаемость политика в денежном контексте сравнивается с аналогичным президентским показателем.
В табл. 4 денежная совместимость политика сравнивается с его общей упоминаемостью. Тот, у кого среди всех контекстов больше доля денежных, занимает более высокое место.
Данные в колонке "Воротилы" указаны в процентах. В колонке "Деньги" указано место, занятое политиком по соответствующему параметру в табл. 1.
В скобках указывается место, занятое в предыдущем месяце.
Придворные
В номинации "Придворные", позволяющей оценить самостоятельность политиков, вот уже четвертый месяц борьба идет лишь за места начиная с третьего: первое автоматически зарезервировано за Владимиром Путиным, а второе прочно занял глава его администрации Александр Волошин. Чтобы оставаться вне конкуренции, ему, как показывает практика, достаточно лишь посещать большинство мероприятий с участием шефа.
![]() |
Но главным героем мая стал все же не он, а посол России на Украине Виктор Черномырдин. Во-первых, он выиграл Кубок прогресса, поднявшись сразу на 30 ступеней; а во-вторых — выжал максимум из двух "профильных" событий: встречи российского и украинского президентов в Сочи и саммита Россия--США (Черномырдин участвовал в ряде мероприятий, организованных в рамках визита Джорджа Буша в Россию). Весьма кстати оказалась для экс-премьера и новая инициатива КПРФ о вотуме недоверия правительству: многие СМИ вспоминали о том, как левые в свое время пытались снять Черномырдина.
На 21 позицию приблизился к президенту Сергей Иванов, неизменно упоминавшийся в связке с Путиным в материалах о подготовке и проведении саммитов Россия--США и Россия--НАТО. Виктор Христенко, который, как уже говорилось, резко сдал по общей упоминаемости и в рейтинге воротил, компенсировал сбой подъемом на 20 мест в номинации "Придворные". Этому способствовало его участие в другом саммите — Россия--ЕС.
Очень любопытно падение на 32 позиции Михаила Лесина — судя по всему, в задержке с выдачей лицензии на вещание на шестом телеканале журналисты "руку Кремля" не усмотрели. На 17 мест опустился Борис Березовский, который в мае сосредоточился на борьбе против новых владельцев шестого канала и несколько отвлекся от критики путинского режима. А еще один оппозиционер, лидер СПС Борис Немцов, и вовсе покинул первый дивизион.
Во втором дивизионе в мае нашлись сразу три политика, повторившие абсолютный (стопроцентный) рекорд: президент Чувашии Николай Федоров, замглавы администрации президента Александр Абрамов и экс-глава думского комитета по промышленности Юрий Маслюков. Но об уровне их упоминаемости красноречиво свидетельствует хотя бы тот факт, что, например, Федорова в майских СМИ упомянули один-единственный раз.
Табл. 5
| Место | Деятель | Придворные | Рядом с П |
|---|---|---|---|
| 1 (1) | Путин Владимир | 100,00 | 1 |
| 2 (2) | Волошин Александр | 69,35 | 14 |
| 3 (--) | Рушайло Владимир | 59,68 | 21 |
| 4 (16) | Степашин Сергей | 55,07 | 17 |
| 5 (4) | Ельцин Борис | 49,42 | 3 |
| 6 (36) | Черномырдин Виктор | 46,67 | 29 |
| 7 (17) | Казанцев Виктор | 46,34 | 18 |
| 8 (7) | Горбачев Михаил | 45,28 | 12 |
| 9 (30) | Иванов Сергей | 45,05 | 5 |
| 10 (13) | Греф Герман | 44,08 | 7 |
| 11 (--) | Патрушев Николай | 43,66 | 9 |
| 12 (18) | Кудрин Алексей | 43,49 | 4 |
| 13 (21) | Матвиенко Валентина | 40,19 | 15 |
| 14 (15) | Иванов Игорь | 39,59 | 6 |
| 15 (35) | Христенко Виктор | 39,56 | 22 |
| 16 (11) | Миронов Сергей | 38,41 | 11 |
| 17 (--) | Ходорковский Михаил | 37,93 | 39 |
| 18 (26) | Чубайс Анатолий | 35,94 | 13 |
| 19 (14) | Касьянов Михаил | 35,93 | 2 |
| 20 (23) | Грызлов Борис | 35,23 | 25 |
| 21 (8) | Фетисов Вячеслав | 34,41 | 24 |
| 22 (10) | Примаков Евгений | 34,21 | 32 |
| 23 (40) | Гордеев Алексей | 33,71 | 26 |
| 24 (--) | Абрамович Роман | 33,33 | 45 |
| 25 (29) | Жириновский Владимир | 32,20 | 20 |
| 26 (9) | Березовский Борис | 29,29 | 28 |
| 27 (--) | Квашнин Анатолий | 29,00 | 27 |
| 28 (--) | Жуков Александр | 28,07 | 54 |
| 29 (34) | Селезнев Геннадий | 27,24 | 8 |
| 30 (--) | Юсуфов Игорь | 27,06 | 38 |
| 31 (25) | Гуцериев Михаил | 26,98 | 52 |
| 32 (--) | Вешняков Александр | 25,42 | 56 |
| 33 (33) | Миллер Алексей | 23,53 | 55 |
| 34 (--) | Тоцкий Константин | 23,33 | 62 |
| 35 (32) | Зюганов Геннадий | 22,99 | 10 |
| 36 (22) | Тулеев Аман | 22,89 | 47 |
| 37 (24) | Кадыров Ахмад | 22,86 | 36 |
| 38 (--) | Хлопонин Александр | 22,64 | 73 |
| 39 (31) | Киселев Евгений | 21,11 | 44 |
| 40 (47) | Алексий II | 20,61 | 23 |
| 41 (27) | Шойгу Сергей | 18,45 | 19 |
| 42 (37) | Устинов Владимир | 17,76 | 30 |
| 43 (--) | Трошев Геннадий | 16,95 | 78 |
| 44 (12) | Лесин Михаил | 16,28 | 65 |
| 45 (46) | Игнатьев Сергей | 14,52 | 88 |
| 46 (49) | Лужков Юрий | 12,43 | 16 |
| 47 (41) | Швыдкой Михаил | 11,83 | 75 |
| 48 (44) | Починок Александр | 11,69 | 86 |
| 49 (--) | Клебанов Илья | 9,62 | 81 |
| 50 (42) | Геращенко Виктор | 7,14 | 125 |
В табл. 1 количество материалов СМИ, в которых упоминаются и политик, и президент, фактически сравнивается с упоминаемостью президента (показатель "Рядом с П" для Владимира Путина совпадает с показателем "Упоминаемость"). Несколько огрубляя, можно сказать, что табл. 1 дает представление о том, какое место в жизни президента занимает политик.
В табл. 5 совместная упоминаемость политика и президента сравнивается с общей упоминаемостью политика. Также несколько огрубляя, можно сказать, что табл. 5 дает представление о том, какое место в жизни политика занимает президент.
Тот, у кого среди всех контекстов больше доля президентских, занимает более высокое место.
Данные в колонке "Придворные" указаны в процентах. В колонке "Рядом с П" указано место, занятое политиком по соответствующему параметру в табл. 1. В скобках указывается место, занятое в предыдущем месяце.
Итог: чекист пошел на рекорд
Итоговый рейтинг, составленный с учетом всех девяти параметров, показывает, что премьер Касьянов, как и предполагала "Власть", сумел оправиться от апрельского провала (тогда он потерял 841 балл — почти половину своей мартовской суммы) и немного сократил отставание от президента. Правда, отрыв Путина все равно остается более чем внушительным.
![]() |
А главным героем мая стал Николай Патрушев. Хотя по абсолютному приросту рейтинга он занял лишь четвертое место, его относительные показатели оказались лучшими среди двадцати лидеров списка: месячный прирост почти в 1200%! В мае, правда, были и более внушительные взлеты, но в основном это касалось политиков с куда меньшей общей упоминаемостью. Например, генерал Трошев прибавил аж 1433%, но он в итоговом рейтинге лишь 24-й, а по общей упоминаемости и вовсе 45-й.
Оправдался прогноз "Власти" в отношении товарищей Селезнева и Зюганова, чьи рейтинги в мае сильно упали. Особенно не повезло спикеру Госдумы, который потерял чуть ли не в два раза больше, чем приобрел месяцем ранее, и стал абсолютным рекордсменом мая по утраченным очкам.
В заключение несколько слов об июньских планах. Отыграть у президента хотя бы пару сотен баллов премьеру будет тяжело: рабочих дней в июне больше, чем в мае, да и праздник 12 июня поможет скорее Путину, нежели Касьянову. Селезнев и Зюганов продолжат падение, если только не придумают себе повод для скандала вроде создания новой думской группы. Сохранят свои позиции те, кто связан с подготовкой бюджета-2003. Ну и, наконец, едва ли не все участники рейтинга будут часто мелькать в СМИ в связи с чемпионатом мира по футболу. Так что в следующем рейтинге возможны большие неожиданности.
Табл. 6
| Место | Деятель | Рейтинг |
|---|---|---|
| 1 (1) | Путин Владимир | 3518 (+63) |
| 2 (2) | Касьянов Михаил | 1157 (+247) |
| 3 (4) | Кудрин Алексей | 612 (+119) |
| 4 (5) | Лужков Юрий | 368 (-33) |
| 5 (22) | Шойгу Сергей | 306 (+169) |
| 6 (6) | Иванов Сергей | 299 (-84) |
| 7 (14) | Иванов Игорь | 295 (+58) |
| 8 (3) | Селезнев Геннадий | 271 (-415) |
| 9 (39) | Устинов Владимир | 247 (+182) |
| 10 (19) | Миронов Сергей | 244 (+84) |
| 11 (15) | Степашин Сергей | 211 (+6) |
| 12 (16) | Починок Александр | 196 (+3) |
| 13 (9) | Зюганов Геннадий | 192 (-111) |
| 14 (74) | Патрушев Николай | 182 (+168) |
| 15 (8) | Греф Герман | 170 (-156) |
| 16 (7) | Игнатьев Сергей | 164 (-196) |
| 17 (32) | Кадыров Ахмад | 146 (+62) |
| 18 (26) | Тулеев Аман | 132 (+29) |
| 19 (45) | Алексий II | 112 (+68) |
| 20 (18) | Ельцин Борис | 111 (-51) |
| 21 (44) | Лесин Михаил | 107 (+54) |
| 22 (10) | Матвиенко Валентина | 106 (-178) |
| 23 (12) | Гордеев Алексей | 94 (-160) |
| 24 (123) | Трошев Геннадий | 93 (+87) |
| 25 (24) | Геращенко Виктор | 91 (-31) |
| 26 (56) | Квашнин Анатолий | 87 (+66) |
| 27 (17) | Грызлов Борис | 86 (-94) |
| 28 (13) | Чубайс Анатолий | 86 (-168) |
| 29 (69) | Юсуфов Игорь | 86 (+71) |
| 30 (38) | Киселев Евгений | 85 (+18) |
| 31 (66) | Клебанов Илья | 84 (+68) |
| 32 (52) | Ходорковский Михаил | 80 (+54) |
| 33 (51) | Вешняков Александр | 80 (+54) |
| 34 (75) | Жуков Александр | 75 (+61) |
| 35 (31) | Жириновский Владимир | 74 (-11) |
| 36 (50) | Казанцев Виктор | 66 (+36) |
| 37 (20) | Христенко Виктор | 66 (-85) |
| 38 (30) | Березовский Борис | 63 (-33) |
| 39 (58) | Рушайло Владимир | 57 (+37) |
| 40 (35) | Фетисов Вячеслав | 53 (-27) |
| 41 (41) | Швыдкой Михаил | 52 (-10) |
| 42 (86) | Тоцкий Константин | 51 (+39) |
| 43 (37) | Горбачев Михаил | 46 (-25) |
| 44 (36) | Миллер Алексей | 41 (-34) |
| 45 (42) | Примаков Евгений | 41 (-20) |
| 46 (46) | Черномырдин Виктор | 38 (-6) |
| 47 (89) | Абрамович Роман | 35 (+24) |
| 48 (48) | Волошин Александр | 33 (-7) |
| 49 (162) | Дарькин Сергей | 31 (+29) |
| 50 (91) | Хлопонин Александр | 26 (+16) |
| 51 (47) | Зурабов Михаил | 23 (-21) |
| 52 (57) | Потанин Владимир | 23 (+2) |
| 53 (25) | Бородин Павел | 20 (-87) |
| 54 (169) | Магомедов Магомедали | 20 (+18) |
| 55 (54) | Филиппов Владимир | 19 (-5) |
| 56 (49) | Громов Борис | 19 (-13) |
| 57 (55) | Бендукидзе Каха | 19 (-2) |
| 58 (64) | Гусинский Владимир | 18 (+2) |
| 59 (65) | Яковлев Владимир | 16 (0) |
| 60 (93) | Митрофанов Алексей | 15 (+5) |
| 61 (61) | Титов Константин | 15 (-3) |
| 62 (34) | Володин Вячеслав | 14 (-67) |
| 63 (106) | Ходырев Геннадий | 13 (+5) |
| 64 (79) | Рогозин Дмитрий | 13 (0) |
| 65 (70) | Козак Дмитрий | 12 (-3) |
| 66 (136) | Егоров Владимир | 12 (+7) |
| 67 (23) | Илларионов Андрей | 12 (-123) |
| 68 (92) | Илюмжинов Кирсан | 12 (+2) |
| 69 (21) | Аушев Руслан | 12 (-133) |
| 70 (72) | Слиска Любовь | 12 (-3) |
| 71 (43) | Райков Геннадий | 12 (-46) |
| 72 (81) | Кириенко Сергей | 11 (-2) |
| 73 (27) | Фадеев Геннадий | 11 (-92) |
| 74 (94) | Рейман Леонид | 11 (+1) |
| 75 (40) | Немцов Борис | 10 (-54) |
| 76 (73) | Дерипаска Олег | 10 (-5) |
| 77 (113) | Букаев Геннадий | 10 (+3) |
| 78 (33) | Зязиков Мурад | 10 (-71) |
| 79 (59) | Пехтин Владимир | 10 (-10) |
| 80 (90) | Полтавченко Георгий | 10 (-1) |
| 81 (60) | Зубков Виктор | 10 (-8) |
| 82 (122) | Лукин Владимир | 10 (+4) |
| 83 (82) | Аяцков Дмитрий | 10 (-2) |
| 84 (29) | Ястржембский Сергей | 10 (-86) |
| 85 (118) | Латышев Петр | 9 (+3) |
| 86 (85) | Хакамада Ирина | 9 (-3) |
| 87 (71) | Гуцериев Михаил | 9 (-6) |
| 88 (67) | Шаймиев Минтимер | 9 (-7) |
| 89 (87) | Авен Петр | 9 (-2) |
| 90 (107) | Румянцев Александр | 9 (+1) |
| 91 (105) | Драчевский Леонид | 9 (+1) |
| 92 (84) | Морозов Олег | 8 (-4) |
| 93 (110) | Ванин Михаил | 8 (+1) |
| 94 (134) | Дзасохов Александр | 8 (+3) |
| 95 (109) | Аксененко Николай | 8 (+1) |
| 96 (53) | Шохин Александр | 8 (-18) |
| 97 (63) | Харитонов Николай | 7 (-9) |
| 98 (117) | Толоконский Виктор | 7 (+1) |
| 99 (149) | Савченко Евгений | 7 (+4) |
| 100 (68) | Лебедь Алексей | 7 (-9) |
В табл. 6 приведен общий ретинг ньюсмейкеров, вычисленный по совокупности всех параметров табл. 1-5.
Итоговый рейтинг рассчитан следующим образом.
Для каждого политика выведен средний показатель по табл. 1 (показатели из табл. 1 суммируются, сумма делится на 5).
К этому среднему показателю политики, вошедшие в табл. 1, прибавляются бонусы, рассчитанные на основе табл. 2-5.
Расчет бонусов приведем на примере таблицы "Авторитеты".
Авторитетность политика, занявшего первое место в этой таблице, принимается за 1. Авторитетность остальных политиков пересчитываются в долях от показателя лидера. Таким образом, каждый политик получает некий коэффициент авторитетности. Этот коэффициент умножается на показатель политика по парному для "Авторитетов" параметру "Цитируемость". Полученное произведение и есть бонус.
Бонусы по параметрам "Заголовщики", "Воротилы" и "Придворные" рассчитываются аналогичным образом.
После того как все бонусы прибавлены, полученная сумма для удобства восприятия умножается на 10.
Описанную процедуру можно представить в виде следующей формулы:
![]() |
Замеры производились по ресурсам Национальной электронной библиотеки. При подсчете учитывались публикации в следующих СМИ
Газеты: Аргументы и факты, Ведомости, Версия, Вечерняя Москва, Время MN, Время новостей, Гудок, Газета, Завтра, Известия, Коммерсантъ, Комсомольская правда, Красная звезда, Литературная газета, Московская правда, Московские новости, Московский комсомолец, Независимая газета, Новая газета, Новые Известия, Общая газета, Парламентская газета, Российская газета, Совершенно секретно, Советская Россия, Трибуна, Труд, Экономика и жизнь
Журналы: Еженедельный журнал, Итоги, Коммерсантъ-Власть, Коммерсантъ-Деньги, Компания, Огонек, Профиль, Российская Федерация сегодня, Эксперт
Новостные выпуски теле- и радиокомпаний: ОРТ, РТР, ТВЦ, НТВ, ТВ-6, Радио "Маяк", Радио России, Радио "Эхо Москвы" (мониторинг Центра региональных прикладных исследований).
В разработке проекта принимали участие Сергей Никулин, Андрей Моченов, Павел Черников
Статистика: Михаил Лукин, Анна и Павел Черниковы







