Самые влиятельные люди России
"Власть" продолжает публиковать ежемесячный рейтинг самых влиятельных российских чиновников, политиков и бизнесменов. Сегодня — рейтинг за апрель 2002 года.
Напомним, что для оценки влиятельности политиков "Власть" применяет метод статистического исследования российских СМИ, которое проводится по девяти параметрам. Смысл и способ расчета каждого параметра излагаются в комментариях к таблицам 1-5. Итоговый рейтинг приводится в таблице 6. Рейтинг рассчитан для 183 российских политиков и бизнесменов, в число которых входят руководители всех ветвей власти, ведущие министры, главы регионов, крупнейшие бизнесмены и финансисты.
Исходя из главного показателя — индекса упоминаемости в прессе — все участники рейтинга разделены на два дивизиона. Представители первого (их имена фигурируют в таблице 1) участвуют в борьбе за первенство в отдельных номинациях (таблицы 2-5).
Премьер-министр Михаил Касьянов, который в феврале совершил впечатляющий рывок, а в марте сумел удержаться на очень высоком уровне по общей упоминаемости (почти 50% от президентской), в апреле резко сдал, потеряв сразу 13,23 процентного пункта. Падение произошло почти по всем параметрам, а наиболее заметное — в рубрике "Цитируемость" (более чем на 54 пункта). Рост в 2,6 пункта зафиксирован только в номинации "Рядом с П". Впрочем, большая часть упоминаний Касьянова в связке с Путиным касалась жесткой критики, которой президент подверг правительство из-за недостаточных темпов экономического роста. Кстати, этим же объясняется и провал премьера по цитируемости: общее число публикаций, в которых упоминался Касьянов, в апреле заметно возросло, однако в большинстве из них журналисты цитировали президента, тогда как премьер присутствовал в качестве молчаливого объекта критики.
Тем временем среди ближайших преследователей премьера в борьбе за второе место произошли заметные перестановки. Благодаря шумным скандалам в Думе вокруг передела "пакетного соглашения" сильно прибавили спикер Госдумы Геннадий Селезнев и лидер КПРФ Геннадий Зюганов. Спикер, которому пришлось бороться не только с идеологическими противниками из центристских фракций, но и с соратниками по партии, недовольными его отказом покидать свой пост, поднялся в рейтинге выше своего партийного начальника, а по цитируемости даже превзошел "вечно второго" Михаила Касьянова. Зато Геннадий Зюганов может похвалиться рекордным для апреля приростом по общей упоминаемости (11,5 процентного пункта) и прыжком из середины третьего десятка в пятерку лидеров. Чтобы составить реальную конкуренцию премьеру, коммунистам не хватило финансовой мощи: с 18-м и 25-м местами в номинации "Деньги" рассчитывать на общее второе место вряд ли приходится.
В десятку лидеров в апреле вошли Герман Греф, Алексей Кудрин и Александр Лебедь. Министр экономического развития и торговли чаще всего упоминался в том же контексте, что и премьер,— в связи с президентской критикой в адрес правительства. К тому же Грефа поминали недобрым словом участники широко освещавшихся в СМИ массовых митингов в Воронеже против жилищно-коммунальной реформы. Вице-премьер Кудрин, помимо визитов в Лондон и Вашингтон и переговоров с министрами финансов стран "восьмерки", отметился нашумевшим заявлением о скором снятии Россией ограничений на экспорт нефти. А губернатор Красноярского края оказался в центре внимания прессы из-за своей трагической гибели в авиакатастрофе. Стоит также отметить двоих дебютантов первого дивизиона: Мурад Зязиков выиграл скандальные президентские выборы в Ингушетии, а Вячеслав Фетисов был назначен председателем Госкомспорта.
Среди участников рейтинга, добившихся в апреле самого заметного прогресса и поднявшихся в первый дивизион, можно отметить нескольких. Лидер думской группы "Народный депутат" Геннадий Райков проявил себя как активный борец с католиками и гомосексуалистами. Министр труда Александр Починок убедил депутатов Госдумы принять в первом чтении правительственный вариант законопроекта "Об альтернативной гражданской службе". Крупный теракт в Чечне против местного ОМОНа и смерть полевого командира Хаттаба повысили упоминаемость сразу трех политиков, ответственных за Чечню,— главы республики Ахмада Кадырова, представителя президента в Южном федеральном округе Виктора Казанцева и помощника президента Сергея Ястржембского. Наконец, вернулся в число 50 лидеров рейтинга министр путей сообщения Геннадий Фадеев, которого многие СМИ поторопились отправить на пенсию.
А абсолютным победителем в Кубке прогресса стал глава Хакасии Алексей Лебедь. В данном случае сработало известное правило: не входящему в первый дивизион политику гораздо легче "выстрелить" за счет нескольких публикаций, чем его более раскрученному коллеге. Алексей Лебедь, занимавший в марте лишь 167-е место, упоминался во многих материалах о гибели его брата и за счет этого поднялся сразу на 92 места. Впрочем, чтобы войти в число 50 лидеров, этого все же не хватило, и в мае глава Хакасии, скорее всего, вернется на привычное место в конце второй сотни.
ДМИТРИЙ КАМЫШЕВ
Всего материалов 23870
Президентские абсолютные показатели
Упоминаемость 2641
Заголовки 1357
Цитируемость 504
Деньги 262
Рядом с П 2641
Российские ньюсмейкеры в долях от президента (Табл.1)
Статистические данные собраны по 183 российским политикам. В табл. 1-5 приводятся данные по 50 наиболее упоминаемым.
Под "Упоминаемостью" понимается количество материалов СМИ, в которых встречается имя политика.
Параметр "Заголовки" оценивает "качественную" упоминаемость политика: он рассчитывается исходя из упоминаемости политика в заголовках и первых фразах сообщений прессы. Этот параметр позволяет отсечь случайные упоминания и зафиксировать лишь те сообщения, в которых политик является одним из главных героев.
Параметр "Цитируемость" оценивает авторитетность политика: фиксируются те сообщения СМИ, в которых в том или ином виде содержится ссылка на слова политика.
Параметр "Деньги" косвенным образом оценивает "экономическую активность" политика. Фиксируются сообщения, в которых его имя упоминается в контексте тех или иных денежных сумм.
Параметр "Рядом с П" характеризует совместную встречаемость имен политика и президента страны.
В табл. 1 абсолютные показатели президента по каждому из параметров считаются эталонными и принимаются за 100%. Показатели остальных политиков считаются в процентах от соответствующих показателей Владимира Путина.
Политики в табл. 1 ранжированы по параметру "Упоминаемость". В скобках указывается место в рейтинге по другим параметрам. В колонке "Место" в скобках указывается место по "Упоминаемости" в прошлом месяце.
ЗАГОЛОВЩИКИ
Номинация "Заголовщики", позволяющая выяснить, кто из участников рейтинга чаще других становился главным героем публикаций, прежде была самой стабильной: два месяца в ней лидировали Сергей и Игорь Ивановы. В апреле министры обороны и иностранных дел тоже добились хороших результатов, но составить конкуренцию Александру Лебедю не смогли. За три последних апрельских дня, когда гибель красноярского губернатора стала главной темой всех без исключения СМИ, рейтинг упоминаемости покойного генерала в заголовках и первых фразах публикаций побил все рекорды.
Сергей Иванов сумел удержаться на втором месте, а вот глава МИДа покинул первую тройку, уступив не только Геннадию Селезневу, но и новому министру спорта Фетисову. На самое высокое для себя место поднялся вице-премьер Алексей Гордеев: пресса отметила его борьбу с "ножками Буша" и участие в заседании Госсовета по проблемам оборота сельхозземель. Касьянов, напротив, опустился на пять мест. Зато президент, отнявший у премьера немалую часть заголовков, впервые поднялся на одну ступеньку (прежде в этой номинации Путин двигался только по нисходящей).
Во второй десятке собрались несколько претендентов на "Кубок прогресса". Например, председатель Счетной палаты Сергей Степашин, проверявший расходование бюджетных средств в Чечне, поднялся на десять мест. Глава МЧС Сергей Шойгу, который в начале апреля провел съезд депутатов всех уровней--членов "Единой России", а в конце месяца возглавил комиссию по расследованию авиакатастрофы в Красноярском крае, переместился вверх на 11 ступеней. А кемеровский губернатор Аман Тулеев оказался среди двадцати первых заголовщиков благодаря возобновлению судебного процесса над Виктором Тихоновым, обвиняемым в подготовке убийства Тулеева.
Среди неудачников следует отметить троих. Борис Березовский после всплеска, связанного с демонстрацией фильма о взрыве жилых домов в Москве, опустился на 29 позиций. Виктор Геращенко в родной денежной стихии еще на виду (см. номинацию "Воротилы"), но из заголовков он постепенно исчезает (понижение на 34 места). А ниже всех в апреле опустился Павел Бородин — полное отсутствие новостей из швейцарской прокуратуры вылилось в отступление на 37 мест.
Если бы к борьбе за первенство в отдельных номинациях допускались все участники рейтинга, то в первой десятке оказались бы сразу пять представителей второго дивизиона. В частности, первым стал бы Алексей Лебедь, а третьим — бывший глава президентской администрации Валентин Юмашев: журналисты не забыли отметить рождение дочери у Татьяны Юмашевой-Дьяченко.
Табл.2
В табл. 1 "качественная" упоминаемость политика сравнивается с аналогичным президентским показателем.
В табл. 2 "качественная" упоминаемость политика сравнивается с его общей упоминаемостью. Тот, у кого среди всех упоминаний больше доля упоминаний в заголовках и первых фразах сообщений СМИ, занимает более высокое место.
Данные в колонке "Заголовщики" указаны в процентах. В колонке "Заголовки" указано место, занятое политиком по соответствующему параметру в табл. 1. В скобках указывается место, занятое в предыдущем месяце.
Авторитеты
Номинация "Авторитеты" отражает внимание СМИ к мнениям политиков и бизнесменов. Мартовский лидер, глава Центризбиркома Александр Вешняков, в апреле не попал в число 50 лидеров по общей упоминаемости и в борьбе за победу в номинации не участвовал.
В отсутствие прежнего лидера победа в номинации досталась Алексею Гордееву, который еще в марте подбирался к первой тройке, совсем чуть-чуть уступив занявшему третье место Сергею Иванову. На этот раз борьба с окорочками и Госсовет по земельному вопросу перевесили многочисленные поездки и встречи Иванова почти на 8 процентных пунктов.
Если не считать Иванова и Гордеева, говорить о стабильности в этой номинации не приходится: трое из пяти апрельских лидеров в марте вообще не входили в первый дивизион по общей упоминаемости! Проявил себя Сергей Ястржембский, прежде не поднимавшийся выше третьего места. Комментарии Руслана Аушева были востребованы журналистами как в связи с президентскими выборами в Ингушетии, на которых его сторонники проиграли, так и после его отставки с поста члена Совета федерации. Наконец, орловский губернатор Егор Строев был одним из главных действующих лиц на заседании Госсовета по земельной проблеме.
Наибольшего прогресса в апреле добился Геннадий Зюганов (подъем на 24 места). На 16 позиций поднялся лидер думской фракции ОВР Вячеслав Володин: он проявил себя как в Думе (особенно при обсуждении новой редакции избирательного закона), так и на партийной работе (выездное заседание генсовета "Единой России" в Пензе и съезд депутатов--членов партии). Заметный рывок сделал и Алексей Кудрин (плюс 15 мест). Его шеф Касьянов, напротив, опустился на 17 позиций и оказался среди главных неудачников апреля. Компанию ему с таким же показателем составил глава кремлевской администрации Александр Волошин: в поле зрения журналистов он оказывался достаточно часто (прежде всего на плановых совещаниях у президента), но цитировали его крайне мало.
Среди малоупоминаемых политиков заметен начальник Генштаба Анатолий Квашнин: если бы не его 79-е место по общей упоминаемости, он победил бы в номинации с заметным отрывом (54%). А второе место среди всех участников рейтинга занял Александр Вешняков (46%), для которого отсутствие в первом дивизионе особенно обидно: в борьбе за 50-е место он уступил Александру Волошину даже не сотые, а тысячные доли процента.
Кстати, в крутых виражах главы ЦИКа вырисовывается тенденция: в январе и марте он занял первое место в номинации "Авторитеты", а в феврале не попал в первый дивизион. Видимо, в мае от него следует ожидать нового всплеска.
Табл.3
В табл. 1 цитируемость политика сравнивается с аналогичным президентским показателем.
В табл. 3 цитируемость политика сравнивается с его общей упоминаемостью. Тот, у кого среди всех упоминаний больше доля прямых или косвенных цитат, занимает более высокое место.
Данные в колонке "Авторитеты" указаны в процентах. В колонке "Цитируемость" указано место, занятое политиком по соответствующему параметру в табл. 1.
В скобках указывается место, занятое в предыдущем месяце.
Воротилы
Рейтинг воротил, призванный оценить экономическую активность его участников, наконец-то возглавил председатель Центробанка Сергей Игнатьев. В марте, сразу после назначения на этот пост, он стал лишь четвертым, но теперь занял первое место, в течение двух зимних месяцев принадлежавшее его предшественнику. Сам Виктор Геращенко, кстати, сдавать позиций тоже не собирается и, хотя и опустился на три места, сумел остаться в пятерке лидеров.
Правда, результат, показанный Игнатьевым, не впечатляет: в марте с теми же процентами он стал бы лишь пятым. А до февральского рекорда бывшего главы ЦБ (53,7%) его преемнику и вовсе далеко. Впрочем, у конкурентов дела еще хуже.
Помощник президента по экономике Андрей Илларионов, который в марте едва не обошел самого Геращенко, потерял более 18 процентных пунктов и остался на третьем месте. И даже Сергей Степашин, поднявшийся на второе место, уступил самому себе: в марте он набрал без малого на один пункт больше.
Симптоматично появление в первой десятке Александра Починка и Геннадия Фадеева, вернувшихся из второго дивизиона. Министр труда теперь не только следит за зарплатами и пенсиями, но и занимается альтернативной гражданской службой,— а это тоже распределение денежных потоков. А глава МПС вопреки слухам об отставке продолжает работать и реформировать свое ведомство, оставаясь тем самым одним из государственных олигархов.
Наиболее заметный подъем в апреле совершил вице-премьер Виктор Христенко. Переговоры с руководством МВФ и Всемирного банка в Москве, участие в Евразийском экономическом саммите в Алма-Ате и визиты в Баку и Пекин позволили ему подняться на 23 позиции.
Переместился вверх и главный редактор ЗАО "Шестой канал" Евгений Киселев. Правда, если в феврале, в разгар подготовки к конкурсу на шестую кнопку, ему удалось подняться в данной номинации на 28 мест, то в апреле — всего на 16. К тому же многие упоминания Киселева в прессе были связаны не с приобретениями, а с потерями — например, с уходом из "пула олигархов" Кахи Бендукидзе и Дмитрия Зимина.
Лидером среди всех 183 воротил оказался Виктор Зубков. Главе финансовой разведки сильно мешает нелюбовь к журналистам и редкие появления на публике. Например, в апреле он фигурировал в СМИ всего два раза — когда подписал соглашение о сотрудничестве с минфином США и провел первую пресс-конференцию в интернете. Для лидерства в номинации без учета общей упоминаемости этого вполне хватило, а вот для закрепления в первом дивизионе было явно недостаточно.
Табл.4
В табл. 1 упоминаемость политика в денежном контексте сравнивается с аналогичным президентским показателем.
В табл. 4 денежная совместимость политика сравнивается с его общей упоминаемостью. Тот, у кого среди всех контекстов больше доля денежных, занимает более высокое место.
Данные в колонке "Воротилы" указаны в процентах. В колонке "Деньги" указано место, занятое политиком по соответствующему параметру в табл. 1.
В скобках указывается место, занятое в предыдущем месяце.
Придворные
Рейтинг придворных позволяет оценить самостоятельность политиков и их зависимость от президента: чем ниже рейтинг, тем более самостоятелен его обладатель. Поэтому неудивительно, что в этой номинации вот уже третий месяц второе место вслед за Путиным занимает глава его администрации Александр Волошин. В апреле он установил новый рекорд, приблизившись к своему непосредственному начальнику еще на 13,5 процентных пунктов. На третье место из середины третьего десятка прыгнул Андрей Илларионов, активно зарабатывавший очки на критике правительственного курса и разъяснении высказываний президента.
Еще большего прогресса (плюс 26 позиций) добился Михаил Касьянов. Правда, это как раз тот случай, когда увеличение придворного рейтинга вовсе не свидетельствует о возросшей близости к президенту: резкую критику главы государства в адрес премьера и руководимого им кабинета вряд ли можно считать признаком усилившейся любви Путина к Касьянову. В то же время это, несомненно, говорит о возросшей зависимости премьера от президента.
Пример противоположного свойства — Виктор Геращенко (минус 31 место): бывший глава ЦБ от президента теперь совершенно не зависит и скоро, видимо, покинет список 50 лучших придворных. Любопытно, кстати, что и преемник Геращенко Сергей Игнатьев в апреле от президента несколько отдалился (минус 18 мест). Выходит, что одновременно с наращиванием финансовых мускулов, о чем свидетельствует победа в рейтинге воротил, новый глава ЦБ потихоньку обретает и независимость от исполнительной власти.
Среди апрельских дебютантов номинации стоит отметить нового ингушского президента Мурада Зязикова и особенно главу Госкомспорта Вячеслава Фетисова: появление обоих в рейтинге придворных ясно показывает, кому они обязаны своим возвышением.
Традиционные критики президента выступили по-разному. Борис Березовский воспользовался возможностью вернуться в десятку лидеров (плюс 12 мест), откликнувшись на смерть Лебедя рассуждениями о "ярком генерале и сером полковнике". А вот Геннадий Зюганов, наоборот, опустился в начало четвертого десятка (минус 32 позиции), совсем позабыв в пылу борьбы за думские комитеты о путинском антинародном режиме.
Среди представителей второго дивизиона снова блеснул руководитель секретариата президента Игорь Сечин, повторивший свой февральский абсолютный рекорд: во всех без исключения апрельских публикациях он фигурировал одновременно с Путиным. Правда, его 173-е место по общей упоминаемости не оставляет в сомнений в том, что с точки зрения личного рейтинга Сечину Путин гораздо нужнее, чем наоборот.
Табл.5
В табл. 1 количество материалов СМИ, в которых упоминаются и политик, и президент, фактически сравнивается с упоминаемостью президента (показатель "Рядом с П" для Владимира Путина совпадает с показателем "Упоминаемость"). Несколько огрубляя, можно сказать, что табл. 1 дает представление о том, какое место в жизни президента занимает политик.
В табл. 5 совместная упоминаемость политика и президента сравнивается с общей упоминаемостью политика. Также несколько огрубляя, можно сказать, что табл. 5 дает представление о том, какое место в жизни политика занимает президент.
Тот, у кого среди всех контекстов больше доля президентских, занимает более высокое место.
Данные в колонке "Придворные" указаны в процентах. В колонке "Рядом с П" указано место, занятое политиком по соответствующему параметру в табл.
1. В скобках указывается место, занятое в предыдущем месяце.
Итог: спикер догоняет премьера
Как показывает итоговый рейтинг, составленный с учетом всех девяти параметров, минувший месяц оказался весьма удачным для Владимира Путина. Если с января он неизменно терял очки, то в апреле наконец пополнил свою копилку на 178 баллов. Прежде всего это произошло из-за роста общей упоминаемости президента: она оказалась даже выше, чем в январе, когда число исследуемых публикаций составляло 24 270 против апрельских 23 870. На увеличении количества упоминаний в свою очередь сказалось оглашение президентского послания Федеральному собранию, которому СМИ уделили особое внимание.
Однако главными событиями месяца стали не успехи лидера, а обострение борьбы между его преследователями, случившееся из-за провала Касьянова (минус 841 балл) и спурта Селезнева (плюс 251 балл). В результате премьер, вторая позиция которого еще недавно казалась незыблемой, теперь опережает спикера всего на 224 балла и вряд ли может чувствовать себя в полной безопасности. Правда, кадровые потрясения в Думе и попытки выгнать из партии спикера случаются в России далеко не каждый месяц. Но это вовсе не значит, что в мае не взлетит кто-нибудь другой, например Сергей Иванов (в связи с планируемым подписанием договора СНВ-3) или Алексей Кудрин (если вдруг разговоры об отставке премьера перейдут в практическую плоскость).
У подавляющего большинства участников рейтинга заботы другого масштаба, и им о прибавках в сотни баллов остается только мечтать. Но и здесь есть свои достижения и неудачи. Например, главный финразведчик Виктор Зубков в апреле прибавил всего 16 баллов, но зато поднялся сразу на 98 мест. А у приморского губернатора Сергея Дарькина все абсолютно наоборот: минус те же 16 баллов — и 98 ступеней вниз.
Прогноз на май по многим позициям выглядит достаточно очевидным. Селезнев и Зюганов, скорее всего, сбавят ход, хотя, возможно, и останутся в первой двадцатке. Касьянов, напротив, должен хотя бы немного прибавить — и за счет реакции на критику президента, и благодаря второй годовщине назначения на пост премьера. А дебютанты рейтинга выступят по-разному: молчаливый Зязиков опустится на дно первого дивизиона, а Фетисов постарается обосноваться среди лидеров — спортивные события мая (чемпионат мира по хоккею, кубок России по футболу и подготовка футбольной сборной к мировому первенству) этому очень способствуют.
Табл.6
В табл. 6 приведен общий ретинг ньюсмейкеров, вычисленный по совокупности всех параметров табл. 1-5.
Итоговый рейтинг рассчитан следующим образом.
Для каждого политика выведен средний показатель по табл. 1 (показатели из табл. 1 суммируются, сумма делится на 5).
К этому среднему показателю политики, вошедшие в табл. 1, прибавляются бонусы, рассчитанные на основе табл. 2-5.
Расчет бонусов приведем на примере таблицы "Авторитеты".
Авторитетность политика, занявшего первое место в этой таблице, принимается за 1. Авторитетность остальных политиков пересчитываются в долях от показателя лидера. Таким образом, каждый политик получает некий коэффициент авторитетности. Этот коэффициент умножается на показатель политика по парному для "Авторитетов" параметру "Цитируемость". Полученное произведение и есть бонус.
Бонусы по параметрам "Заголовщики", "Воротилы" и "Придворные" рассчитываются аналогичным образом.
После того как все бонусы прибавлены, полученная сумма для удобства восприятия умножается на 10.
Описанную процедуру можно представить в виде следующей формулы:
где i — место ньюсмейкера по упоминаемости (Владимир Путин имеет индекс i=1); j — номер параметра рейтинга (от "Упоминаемости" (j=1) до "Рядом с П" (j=5)); aij — количество материалов СМИ, на основе которого рассчитан показатель по j-му параметру i-го ньюсмейкера; Ri — итоговый показатель i-го ньюсмейкера.
Замеры производились по ресурсам Национальной электронной библиотеки. При подсчете учитывались публикации в следующих СМИ
Газеты: Аргументы и факты, Ведомости, Версия, Вечерняя Москва, Время MN, Время новостей, Гудок, Газета, Завтра, Известия, Коммерсантъ, Комсомольская правда, Красная звезда, Литературная газета, Московская правда, Московские новости, Московский комсомолец, Независимая газета, Новая газета, Новые Известия, Общая газета, Парламентская газета, Российская газета, Совершенно секретно, Советская Россия, Трибуна, Труд, Экономика и жизнь
Журналы: Еженедельный журнал, Итоги, Коммерсантъ-Власть, Коммерсантъ-Деньги, Компания, Огонек, Профиль, Российская Федерация сегодня, Эксперт
Новостные выпуски теле- и радиокомпаний: ОРТ, РТР, ТВЦ, НТВ, ТВ-6, Радио "Маяк", Радио России, Радио "Эхо Москвы" (мониторинг Центра региональных прикладных исследований).
В разработке проекта принимали участие Сергей Никулин, Андрей Моченов, Павел Черников
Статистика: Михаил Лукин, Анна и Павел Черниковы
Напомним, что для оценки влиятельности политиков "Власть" применяет метод статистического исследования российских СМИ, которое проводится по девяти параметрам. Смысл и способ расчета каждого параметра излагаются в комментариях к таблицам 1-5. Итоговый рейтинг приводится в таблице 6. Рейтинг рассчитан для 183 российских политиков и бизнесменов, в число которых входят руководители всех ветвей власти, ведущие министры, главы регионов, крупнейшие бизнесмены и финансисты.
![]() |
Премьер-министр Михаил Касьянов, который в феврале совершил впечатляющий рывок, а в марте сумел удержаться на очень высоком уровне по общей упоминаемости (почти 50% от президентской), в апреле резко сдал, потеряв сразу 13,23 процентного пункта. Падение произошло почти по всем параметрам, а наиболее заметное — в рубрике "Цитируемость" (более чем на 54 пункта). Рост в 2,6 пункта зафиксирован только в номинации "Рядом с П". Впрочем, большая часть упоминаний Касьянова в связке с Путиным касалась жесткой критики, которой президент подверг правительство из-за недостаточных темпов экономического роста. Кстати, этим же объясняется и провал премьера по цитируемости: общее число публикаций, в которых упоминался Касьянов, в апреле заметно возросло, однако в большинстве из них журналисты цитировали президента, тогда как премьер присутствовал в качестве молчаливого объекта критики.
Тем временем среди ближайших преследователей премьера в борьбе за второе место произошли заметные перестановки. Благодаря шумным скандалам в Думе вокруг передела "пакетного соглашения" сильно прибавили спикер Госдумы Геннадий Селезнев и лидер КПРФ Геннадий Зюганов. Спикер, которому пришлось бороться не только с идеологическими противниками из центристских фракций, но и с соратниками по партии, недовольными его отказом покидать свой пост, поднялся в рейтинге выше своего партийного начальника, а по цитируемости даже превзошел "вечно второго" Михаила Касьянова. Зато Геннадий Зюганов может похвалиться рекордным для апреля приростом по общей упоминаемости (11,5 процентного пункта) и прыжком из середины третьего десятка в пятерку лидеров. Чтобы составить реальную конкуренцию премьеру, коммунистам не хватило финансовой мощи: с 18-м и 25-м местами в номинации "Деньги" рассчитывать на общее второе место вряд ли приходится.
В десятку лидеров в апреле вошли Герман Греф, Алексей Кудрин и Александр Лебедь. Министр экономического развития и торговли чаще всего упоминался в том же контексте, что и премьер,— в связи с президентской критикой в адрес правительства. К тому же Грефа поминали недобрым словом участники широко освещавшихся в СМИ массовых митингов в Воронеже против жилищно-коммунальной реформы. Вице-премьер Кудрин, помимо визитов в Лондон и Вашингтон и переговоров с министрами финансов стран "восьмерки", отметился нашумевшим заявлением о скором снятии Россией ограничений на экспорт нефти. А губернатор Красноярского края оказался в центре внимания прессы из-за своей трагической гибели в авиакатастрофе. Стоит также отметить двоих дебютантов первого дивизиона: Мурад Зязиков выиграл скандальные президентские выборы в Ингушетии, а Вячеслав Фетисов был назначен председателем Госкомспорта.
Среди участников рейтинга, добившихся в апреле самого заметного прогресса и поднявшихся в первый дивизион, можно отметить нескольких. Лидер думской группы "Народный депутат" Геннадий Райков проявил себя как активный борец с католиками и гомосексуалистами. Министр труда Александр Починок убедил депутатов Госдумы принять в первом чтении правительственный вариант законопроекта "Об альтернативной гражданской службе". Крупный теракт в Чечне против местного ОМОНа и смерть полевого командира Хаттаба повысили упоминаемость сразу трех политиков, ответственных за Чечню,— главы республики Ахмада Кадырова, представителя президента в Южном федеральном округе Виктора Казанцева и помощника президента Сергея Ястржембского. Наконец, вернулся в число 50 лидеров рейтинга министр путей сообщения Геннадий Фадеев, которого многие СМИ поторопились отправить на пенсию.
А абсолютным победителем в Кубке прогресса стал глава Хакасии Алексей Лебедь. В данном случае сработало известное правило: не входящему в первый дивизион политику гораздо легче "выстрелить" за счет нескольких публикаций, чем его более раскрученному коллеге. Алексей Лебедь, занимавший в марте лишь 167-е место, упоминался во многих материалах о гибели его брата и за счет этого поднялся сразу на 92 места. Впрочем, чтобы войти в число 50 лидеров, этого все же не хватило, и в мае глава Хакасии, скорее всего, вернется на привычное место в конце второй сотни.
ДМИТРИЙ КАМЫШЕВ
Всего материалов 23870
Президентские абсолютные показатели
Упоминаемость 2641
Заголовки 1357
Цитируемость 504
Деньги 262
Рядом с П 2641
Российские ньюсмейкеры в долях от президента (Табл.1)
Статистические данные собраны по 183 российским политикам. В табл. 1-5 приводятся данные по 50 наиболее упоминаемым.
Под "Упоминаемостью" понимается количество материалов СМИ, в которых встречается имя политика.
Параметр "Заголовки" оценивает "качественную" упоминаемость политика: он рассчитывается исходя из упоминаемости политика в заголовках и первых фразах сообщений прессы. Этот параметр позволяет отсечь случайные упоминания и зафиксировать лишь те сообщения, в которых политик является одним из главных героев.
Параметр "Цитируемость" оценивает авторитетность политика: фиксируются те сообщения СМИ, в которых в том или ином виде содержится ссылка на слова политика.
Параметр "Деньги" косвенным образом оценивает "экономическую активность" политика. Фиксируются сообщения, в которых его имя упоминается в контексте тех или иных денежных сумм.
Параметр "Рядом с П" характеризует совместную встречаемость имен политика и президента страны.
В табл. 1 абсолютные показатели президента по каждому из параметров считаются эталонными и принимаются за 100%. Показатели остальных политиков считаются в процентах от соответствующих показателей Владимира Путина.
Политики в табл. 1 ранжированы по параметру "Упоминаемость". В скобках указывается место в рейтинге по другим параметрам. В колонке "Место" в скобках указывается место по "Упоминаемости" в прошлом месяце.
ЗАГОЛОВЩИКИ
Номинация "Заголовщики", позволяющая выяснить, кто из участников рейтинга чаще других становился главным героем публикаций, прежде была самой стабильной: два месяца в ней лидировали Сергей и Игорь Ивановы. В апреле министры обороны и иностранных дел тоже добились хороших результатов, но составить конкуренцию Александру Лебедю не смогли. За три последних апрельских дня, когда гибель красноярского губернатора стала главной темой всех без исключения СМИ, рейтинг упоминаемости покойного генерала в заголовках и первых фразах публикаций побил все рекорды.
![]() |
Во второй десятке собрались несколько претендентов на "Кубок прогресса". Например, председатель Счетной палаты Сергей Степашин, проверявший расходование бюджетных средств в Чечне, поднялся на десять мест. Глава МЧС Сергей Шойгу, который в начале апреля провел съезд депутатов всех уровней--членов "Единой России", а в конце месяца возглавил комиссию по расследованию авиакатастрофы в Красноярском крае, переместился вверх на 11 ступеней. А кемеровский губернатор Аман Тулеев оказался среди двадцати первых заголовщиков благодаря возобновлению судебного процесса над Виктором Тихоновым, обвиняемым в подготовке убийства Тулеева.
Среди неудачников следует отметить троих. Борис Березовский после всплеска, связанного с демонстрацией фильма о взрыве жилых домов в Москве, опустился на 29 позиций. Виктор Геращенко в родной денежной стихии еще на виду (см. номинацию "Воротилы"), но из заголовков он постепенно исчезает (понижение на 34 места). А ниже всех в апреле опустился Павел Бородин — полное отсутствие новостей из швейцарской прокуратуры вылилось в отступление на 37 мест.
Если бы к борьбе за первенство в отдельных номинациях допускались все участники рейтинга, то в первой десятке оказались бы сразу пять представителей второго дивизиона. В частности, первым стал бы Алексей Лебедь, а третьим — бывший глава президентской администрации Валентин Юмашев: журналисты не забыли отметить рождение дочери у Татьяны Юмашевой-Дьяченко.
Табл.2
| Место | Деятель | Заголовщики | Заголовки |
|---|---|---|---|
| 1 (26) | Лебедь Александр | 71,38 | 4 |
| 2 (1) | Иванов Сергей | 62,07 | 7 |
| 3 (8) | Селезнев Геннадий | 61,02 | 3 |
| 4 (--) | Фетисов Вячеслав | 60,98 | 25 |
| 5 (2) | Иванов Игорь | 59,85 | 8 |
| 6 (15) | Гордеев Алексей | 52,12 | 13 |
| 7 (--) | Зязиков Мурад | 51,90 | 14 |
| 8 (16) | Грызлов Борис | 51,76 | 11 |
| 9 (10) | Путин Владимир | 51,38 | 1 |
| 10 (5) | Касьянов Михаил | 51,37 | 2 |
| 11 (21) | Степашин Сергей | 50,93 | 23 |
| 12 (--) | Ястржембский Сергей | 48,10 | 29 |
| 13 (24) | Шойгу Сергей | 46,20 | 16 |
| 14 (6) | Игнатьев Сергей | 45,28 | 18 |
| 15 (--) | Фадеев Геннадий | 45,00 | 32 |
| 16 (--) | Устинов Владимир | 44,44 | 26 |
| 17 (27) | Матвиенко Валентина | 42,74 | 12 |
| 18 (--) | Починок Александр | 42,34 | 20 |
| 19 (--) | Тулеев Аман | 42,22 | 30 |
| 20 (31) | Миллер Алексей | 41,57 | 31 |
| 21 (--) | Аушев Руслан | 41,04 | 24 |
| 22 (11) | Миронов Сергей | 39,56 | 17 |
| 23 (--) | Кадыров Ахмад | 38,46 | 35 |
| 24 (37) | Греф Герман | 38,14 | 9 |
| 25 (17) | Лужков Юрий | 36,48 | 5 |
| 26 (33) | Зюганов Геннадий | 36,22 | 6 |
| 27 (12) | Христенко Виктор | 34,76 | 22 |
| 28 (35) | Чубайс Анатолий | 34,62 | 15 |
| 29 (30) | Кудрин Алексей | 34,44 | 10 |
| 30 (--) | Строев Егор | 34,12 | 40 |
| 31 (--) | Райков Геннадий | 32,43 | 33 |
| 32 (32) | Володин Вячеслав | 28,44 | 39 |
| 33 (44) | Волошин Александр | 28,00 | 57 |
| 34 (42) | Жириновский Владимир | 27,80 | 21 |
| 35 (13) | Алексий II | 27,27 | 38 |
| 36 (--) | Казанцев Виктор | 25,00 | 58 |
| 37 (3) | Геращенко Виктор | 25,00 | 41 |
| 38 (45) | Черномырдин Виктор | 24,71 | 56 |
| 39 (43) | Немцов Борис | 24,29 | 36 |
| 40 (22) | Киселев Евгений | 23,36 | 50 |
| 41 (4) | Бородин Павел | 22,83 | 55 |
| 42 (40) | Швыдкой Михаил | 22,31 | 44 |
| 43 (14) | Березовский Борис | 21,88 | 42 |
| 44 (25) | Лесин Михаил | 20,78 | 66 |
| 45 (39) | Громов Борис | 19,74 | 70 |
| 46 (28) | Примаков Евгений | 18,85 | 53 |
| 47 (47) | Ельцин Борис | 17,85 | 19 |
| 48 (46) | Горбачев Михаил | 13,33 | 51 |
| 49 (36) | Илларионов Андрей | 9,09 | 106 |
| 50 (--) | Гуцериев Михаил | 0,00 | 169 |
В табл. 1 "качественная" упоминаемость политика сравнивается с аналогичным президентским показателем.
В табл. 2 "качественная" упоминаемость политика сравнивается с его общей упоминаемостью. Тот, у кого среди всех упоминаний больше доля упоминаний в заголовках и первых фразах сообщений СМИ, занимает более высокое место.
Данные в колонке "Заголовщики" указаны в процентах. В колонке "Заголовки" указано место, занятое политиком по соответствующему параметру в табл. 1. В скобках указывается место, занятое в предыдущем месяце.
Авторитеты
Номинация "Авторитеты" отражает внимание СМИ к мнениям политиков и бизнесменов. Мартовский лидер, глава Центризбиркома Александр Вешняков, в апреле не попал в число 50 лидеров по общей упоминаемости и в борьбе за победу в номинации не участвовал.
![]() |
Если не считать Иванова и Гордеева, говорить о стабильности в этой номинации не приходится: трое из пяти апрельских лидеров в марте вообще не входили в первый дивизион по общей упоминаемости! Проявил себя Сергей Ястржембский, прежде не поднимавшийся выше третьего места. Комментарии Руслана Аушева были востребованы журналистами как в связи с президентскими выборами в Ингушетии, на которых его сторонники проиграли, так и после его отставки с поста члена Совета федерации. Наконец, орловский губернатор Егор Строев был одним из главных действующих лиц на заседании Госсовета по земельной проблеме.
Наибольшего прогресса в апреле добился Геннадий Зюганов (подъем на 24 места). На 16 позиций поднялся лидер думской фракции ОВР Вячеслав Володин: он проявил себя как в Думе (особенно при обсуждении новой редакции избирательного закона), так и на партийной работе (выездное заседание генсовета "Единой России" в Пензе и съезд депутатов--членов партии). Заметный рывок сделал и Алексей Кудрин (плюс 15 мест). Его шеф Касьянов, напротив, опустился на 17 позиций и оказался среди главных неудачников апреля. Компанию ему с таким же показателем составил глава кремлевской администрации Александр Волошин: в поле зрения журналистов он оказывался достаточно часто (прежде всего на плановых совещаниях у президента), но цитировали его крайне мало.
Среди малоупоминаемых политиков заметен начальник Генштаба Анатолий Квашнин: если бы не его 79-е место по общей упоминаемости, он победил бы в номинации с заметным отрывом (54%). А второе место среди всех участников рейтинга занял Александр Вешняков (46%), для которого отсутствие в первом дивизионе особенно обидно: в борьбе за 50-е место он уступил Александру Волошину даже не сотые, а тысячные доли процента.
Кстати, в крутых виражах главы ЦИКа вырисовывается тенденция: в январе и марте он занял первое место в номинации "Авторитеты", а в феврале не попал в первый дивизион. Видимо, в мае от него следует ожидать нового всплеска.
Табл.3
| Место | Деятель | Авторитеты | Цитируемость |
|---|---|---|---|
| 1 (4) | Гордеев Алексей | 43,64 | 8 |
| 2 (--) | Ястржембский Сергей | 36,71 | 23 |
| 3 (3) | Иванов Сергей | 36,02 | 7 |
| 4 (--) | Аушев Руслан | 35,07 | 14 |
| 5 (--) | Строев Егор | 34,12 | 24 |
| 6 (21) | Кудрин Алексей | 32,12 | 6 |
| 7 (--) | Тулеев Аман | 28,89 | 28 |
| 8 (24) | Володин Вячеслав | 27,52 | 21 |
| 9 (8) | Миронов Сергей | 27,47 | 12 |
| 10 (18) | Лесин Михаил | 27,27 | 31 |
| 11 (15) | Степашин Сергей | 26,85 | 22 |
| 12 (16) | Селезнев Геннадий | 26,50 | 2 |
| 13 (--) | Кадыров Ахмад | 26,37 | 30 |
| 14 (--) | Починок Александр | 26,28 | 19 |
| 15 (20) | Игнатьев Сергей | 23,90 | 17 |
| 16 (22) | Шойгу Сергей | 23,39 | 16 |
| 17 (12) | Христенко Виктор | 23,17 | 18 |
| 18 (33) | Греф Герман | 23,08 | 9 |
| 19 (23) | Матвиенко Валентина | 23,08 | 11 |
| 20 (--) | Фадеев Геннадий | 22,50 | 35 |
| 21 (45) | Зюганов Геннадий | 22,44 | 4 |
| 22 (6) | Иванов Игорь | 21,62 | 10 |
| 23 (11) | Илларионов Андрей | 21,59 | 33 |
| 24 (35) | Чубайс Анатолий | 21,37 | 13 |
| 25 (41) | Грызлов Борис | 20,60 | 15 |
| 26 (29) | Миллер Алексей | 19,10 | 36 |
| 27 (28) | Путин Владимир | 19,08 | 1 |
| 28 (--) | Райков Геннадий | 18,92 | 32 |
| 29 (--) | Устинов Владимир | 18,18 | 34 |
| 30 (19) | Лужков Юрий | 17,79 | 5 |
| 31 (14) | Касьянов Михаил | 16,95 | 3 |
| 32 (--) | Фетисов Вячеслав | 15,85 | 46 |
| 33 (25) | Киселев Евгений | 14,02 | 41 |
| 34 (44) | Примаков Евгений | 13,11 | 39 |
| 35 (31) | Бородин Павел | 13,04 | 52 |
| 36 (46) | Жириновский Владимир | 11,71 | 29 |
| 37 (39) | Швыдкой Михаил | 11,57 | 45 |
| 38 (36) | Алексий II | 10,74 | 47 |
| 39 (26) | Немцов Борис | 10,00 | 44 |
| 40 (32) | Геращенко Виктор | 9,82 | 60 |
| 41 (27) | Лебедь Александр | 8,88 | 26 |
| 42 (37) | Березовский Борис | 8,59 | 57 |
| 43 (--) | Казанцев Виктор | 8,33 | 80 |
| 44 (--) | Гуцериев Михаил | 7,89 | 92 |
| 45 (43) | Черномырдин Виктор | 7,06 | 97 |
| 46 (47) | Ельцин Борис | 4,20 | 40 |
| 47 (30) | Волошин Александр | 4,00 | 122 |
| 48 (--) | Зязиков Мурад | 3,80 | 94 |
| 49 (42) | Горбачев Михаил | 3,33 | 89 |
| 50 (40) | Громов Борис | 1,32 | 151 |
В табл. 1 цитируемость политика сравнивается с аналогичным президентским показателем.
В табл. 3 цитируемость политика сравнивается с его общей упоминаемостью. Тот, у кого среди всех упоминаний больше доля прямых или косвенных цитат, занимает более высокое место.
Данные в колонке "Авторитеты" указаны в процентах. В колонке "Цитируемость" указано место, занятое политиком по соответствующему параметру в табл. 1.
В скобках указывается место, занятое в предыдущем месяце.
Воротилы
Рейтинг воротил, призванный оценить экономическую активность его участников, наконец-то возглавил председатель Центробанка Сергей Игнатьев. В марте, сразу после назначения на этот пост, он стал лишь четвертым, но теперь занял первое место, в течение двух зимних месяцев принадлежавшее его предшественнику. Сам Виктор Геращенко, кстати, сдавать позиций тоже не собирается и, хотя и опустился на три места, сумел остаться в пятерке лидеров.
![]() |
Помощник президента по экономике Андрей Илларионов, который в марте едва не обошел самого Геращенко, потерял более 18 процентных пунктов и остался на третьем месте. И даже Сергей Степашин, поднявшийся на второе место, уступил самому себе: в марте он набрал без малого на один пункт больше.
Симптоматично появление в первой десятке Александра Починка и Геннадия Фадеева, вернувшихся из второго дивизиона. Министр труда теперь не только следит за зарплатами и пенсиями, но и занимается альтернативной гражданской службой,— а это тоже распределение денежных потоков. А глава МПС вопреки слухам об отставке продолжает работать и реформировать свое ведомство, оставаясь тем самым одним из государственных олигархов.
Наиболее заметный подъем в апреле совершил вице-премьер Виктор Христенко. Переговоры с руководством МВФ и Всемирного банка в Москве, участие в Евразийском экономическом саммите в Алма-Ате и визиты в Баку и Пекин позволили ему подняться на 23 позиции.
Переместился вверх и главный редактор ЗАО "Шестой канал" Евгений Киселев. Правда, если в феврале, в разгар подготовки к конкурсу на шестую кнопку, ему удалось подняться в данной номинации на 28 мест, то в апреле — всего на 16. К тому же многие упоминания Киселева в прессе были связаны не с приобретениями, а с потерями — например, с уходом из "пула олигархов" Кахи Бендукидзе и Дмитрия Зимина.
Лидером среди всех 183 воротил оказался Виктор Зубков. Главе финансовой разведки сильно мешает нелюбовь к журналистам и редкие появления на публике. Например, в апреле он фигурировал в СМИ всего два раза — когда подписал соглашение о сотрудничестве с минфином США и провел первую пресс-конференцию в интернете. Для лидерства в номинации без учета общей упоминаемости этого вполне хватило, а вот для закрепления в первом дивизионе было явно недостаточно.
Табл.4
| Место | Деятель | Воротилы | Деньги |
|---|---|---|---|
| 1 (4) | Игнатьев Сергей | 33,33 | 5 |
| 2 (6) | Степашин Сергей | 25,93 | 12 |
| 3 (3) | Илларионов Андрей | 25,00 | 15 |
| 4 (1) | Бородин Павел | 23,91 | 14 |
| 5 (2) | Геращенко Виктор | 23,21 | 13 |
| 6 (5) | Кудрин Алексей | 21,85 | 3 |
| 7 (--) | Починок Александр | 20,44 | 11 |
| 8 (--) | Фадеев Геннадий | 18,75 | 26 |
| 9 (24) | Чубайс Анатолий | 17,52 | 8 |
| 10 (22) | Матвиенко Валентина | 17,52 | 7 |
| 11 (13) | Березовский Борис | 16,41 | 17 |
| 12 (21) | Греф Герман | 14,42 | 6 |
| 13 (36) | Христенко Виктор | 12,80 | 16 |
| 14 (--) | Тулеев Аман | 12,22 | 33 |
| 15 (31) | Киселев Евгений | 12,15 | 28 |
| 16 (16) | Касьянов Михаил | 12,00 | 2 |
| 17 (12) | Громов Борис | 11,84 | 37 |
| 18 (19) | Черномырдин Виктор | 11,76 | 35 |
| 19 (23) | Миллер Алексей | 11,24 | 34 |
| 20 (27) | Лужков Юрий | 11,07 | 4 |
| 21 (30) | Швыдкой Михаил | 10,74 | 29 |
| 22 (28) | Путин Владимир | 9,92 | 1 |
| 23 (35) | Горбачев Михаил | 8,89 | 22 |
| 24 (--) | Кадыров Ахмад | 8,79 | 41 |
| 25 (--) | Фетисов Вячеслав | 8,54 | 44 |
| 26 (--) | Строев Егор | 8,24 | 47 |
| 27 (38) | Примаков Евгений | 8,20 | 36 |
| 28 (46) | Грызлов Борис | 8,04 | 23 |
| 29 (32) | Ельцин Борис | 7,87 | 10 |
| 30 (29) | Иванов Сергей | 7,28 | 19 |
| 31 (15) | Немцов Борис | 5,00 | 45 |
| 32 (18) | Жириновский Владимир | 4,39 | 39 |
| 33 (45) | Алексий II | 4,13 | 59 |
| 34 (--) | Устинов Владимир | 4,04 | 69 |
| 35 (7) | Лебедь Александр | 3,95 | 31 |
| 36 (42) | Миронов Сергей | 3,85 | 46 |
| 37 (--) | Зязиков Мурад | 3,80 | 52 |
| 38 (--) | Ястржембский Сергей | 3,80 | 84 |
| 39 (--) | Казанцев Виктор | 3,57 | 92 |
| 40 (37) | Шойгу Сергей | 3,51 | 50 |
| 41 (34) | Зюганов Геннадий | 3,33 | 25 |
| 42 (39) | Гордеев Алексей | 3,03 | 57 |
| 43 (--) | Аушев Руслан | 2,99 | 70 |
| 44 (40) | Селезнев Геннадий | 2,93 | 18 |
| 45 (41) | Володин Вячеслав | 1,83 | 96 |
| 46 (--) | Райков Геннадий | 1,80 | 111 |
| 47 (47) | Волошин Александр | 1,33 | 142 |
| 48 (33) | Лесин Михаил | 1,30 | 133 |
| 49 (44) | Иванов Игорь | 0,77 | 109 |
| 50 (--) | Гуцериев Михаил | 0,00 | 150 |
В табл. 1 упоминаемость политика в денежном контексте сравнивается с аналогичным президентским показателем.
В табл. 4 денежная совместимость политика сравнивается с его общей упоминаемостью. Тот, у кого среди всех контекстов больше доля денежных, занимает более высокое место.
Данные в колонке "Воротилы" указаны в процентах. В колонке "Деньги" указано место, занятое политиком по соответствующему параметру в табл. 1.
В скобках указывается место, занятое в предыдущем месяце.
Придворные
Рейтинг придворных позволяет оценить самостоятельность политиков и их зависимость от президента: чем ниже рейтинг, тем более самостоятелен его обладатель. Поэтому неудивительно, что в этой номинации вот уже третий месяц второе место вслед за Путиным занимает глава его администрации Александр Волошин. В апреле он установил новый рекорд, приблизившись к своему непосредственному начальнику еще на 13,5 процентных пунктов. На третье место из середины третьего десятка прыгнул Андрей Илларионов, активно зарабатывавший очки на критике правительственного курса и разъяснении высказываний президента.
![]() |
Пример противоположного свойства — Виктор Геращенко (минус 31 место): бывший глава ЦБ от президента теперь совершенно не зависит и скоро, видимо, покинет список 50 лучших придворных. Любопытно, кстати, что и преемник Геращенко Сергей Игнатьев в апреле от президента несколько отдалился (минус 18 мест). Выходит, что одновременно с наращиванием финансовых мускулов, о чем свидетельствует победа в рейтинге воротил, новый глава ЦБ потихоньку обретает и независимость от исполнительной власти.
Среди апрельских дебютантов номинации стоит отметить нового ингушского президента Мурада Зязикова и особенно главу Госкомспорта Вячеслава Фетисова: появление обоих в рейтинге придворных ясно показывает, кому они обязаны своим возвышением.
Традиционные критики президента выступили по-разному. Борис Березовский воспользовался возможностью вернуться в десятку лидеров (плюс 12 мест), откликнувшись на смерть Лебедя рассуждениями о "ярком генерале и сером полковнике". А вот Геннадий Зюганов, наоборот, опустился в начало четвертого десятка (минус 32 позиции), совсем позабыв в пылу борьбы за думские комитеты о путинском антинародном режиме.
Среди представителей второго дивизиона снова блеснул руководитель секретариата президента Игорь Сечин, повторивший свой февральский абсолютный рекорд: во всех без исключения апрельских публикациях он фигурировал одновременно с Путиным. Правда, его 173-е место по общей упоминаемости не оставляет в сомнений в том, что с точки зрения личного рейтинга Сечину Путин гораздо нужнее, чем наоборот.
Табл.5
| Место | Деятель | Придворные | Рядом с П |
|---|---|---|---|
| 1 (1) | Путин Владимир | 100,00 | 1 |
| 2 (2) | Волошин Александр | 78,67 | 20 |
| 3 (24) | Илларионов Андрей | 68,18 | 18 |
| 4 (4) | Ельцин Борис | 50,39 | 3 |
| 5 (6) | Немцов Борис | 49,29 | 16 |
| 6 (--) | Строев Егор | 47,06 | 25 |
| 7 (10) | Горбачев Михаил | 43,33 | 12 |
| 8 (--) | Фетисов Вячеслав | 42,68 | 29 |
| 9 (21) | Березовский Борис | 39,84 | 22 |
| 10 (19) | Примаков Евгений | 39,34 | 23 |
| 11 (17) | Миронов Сергей | 38,46 | 15 |
| 12 (27) | Лесин Михаил | 37,66 | 40 |
| 13 (29) | Греф Герман | 36,86 | 6 |
| 14 (40) | Касьянов Михаил | 36,84 | 2 |
| 15 (34) | Иванов Игорь | 36,29 | 8 |
| 16 (8) | Степашин Сергей | 36,11 | 26 |
| 17 (--) | Казанцев Виктор | 35,71 | 36 |
| 18 (9) | Кудрин Алексей | 35,43 | 7 |
| 19 (--) | Фадеев Геннадий | 35,00 | 42 |
| 20 (32) | Володин Вячеслав | 33,94 | 27 |
| 21 (26) | Матвиенко Валентина | 33,76 | 11 |
| 22 (--) | Тулеев Аман | 33,33 | 37 |
| 23 (18) | Грызлов Борис | 33,17 | 17 |
| 24 (--) | Кадыров Ахмад | 31,87 | 39 |
| 25 (--) | Гуцериев Михаил | 31,58 | 51 |
| 26 (12) | Чубайс Анатолий | 30,34 | 14 |
| 27 (36) | Шойгу Сергей | 29,82 | 21 |
| 28 (3) | Лебедь Александр | 29,28 | 9 |
| 29 (20) | Жириновский Владимир | 29,27 | 19 |
| 30 (15) | Иванов Сергей | 29,12 | 13 |
| 31 (39) | Киселев Евгений | 28,97 | 34 |
| 32 (5) | Зюганов Геннадий | 28,67 | 5 |
| 33 (41) | Миллер Алексей | 28,09 | 47 |
| 34 (33) | Селезнев Геннадий | 27,73 | 4 |
| 35 (47) | Христенко Виктор | 26,22 | 24 |
| 36 (22) | Черномырдин Виктор | 25,88 | 58 |
| 37 (--) | Устинов Владимир | 23,23 | 56 |
| 38 (--) | Аушев Руслан | 23,13 | 35 |
| 39 (42) | Бородин Павел | 22,83 | 61 |
| 40 (49) | Гордеев Алексей | 21,82 | 28 |
| 41 (46) | Швыдкой Михаил | 21,49 | 45 |
| 42 (11) | Геращенко Виктор | 21,43 | 48 |
| 43 (--) | Райков Геннадий | 20,72 | 55 |
| 44 (--) | Починок Александр | 20,44 | 43 |
| 45 (--) | Ястржембский Сергей | 20,25 | 73 |
| 46 (28) | Игнатьев Сергей | 20,13 | 33 |
| 47 (43) | Алексий II | 18,18 | 57 |
| 48 (44) | Громов Борис | 17,11 | 82 |
| 49 (45) | Лужков Юрий | 15,97 | 10 |
| 50 (--) | Зязиков Мурад | 13,29 | 59 |
В табл. 1 количество материалов СМИ, в которых упоминаются и политик, и президент, фактически сравнивается с упоминаемостью президента (показатель "Рядом с П" для Владимира Путина совпадает с показателем "Упоминаемость"). Несколько огрубляя, можно сказать, что табл. 1 дает представление о том, какое место в жизни президента занимает политик.
В табл. 5 совместная упоминаемость политика и президента сравнивается с общей упоминаемостью политика. Также несколько огрубляя, можно сказать, что табл. 5 дает представление о том, какое место в жизни политика занимает президент.
Тот, у кого среди всех контекстов больше доля президентских, занимает более высокое место.
Данные в колонке "Придворные" указаны в процентах. В колонке "Рядом с П" указано место, занятое политиком по соответствующему параметру в табл.
1. В скобках указывается место, занятое в предыдущем месяце.
Итог: спикер догоняет премьера
Как показывает итоговый рейтинг, составленный с учетом всех девяти параметров, минувший месяц оказался весьма удачным для Владимира Путина. Если с января он неизменно терял очки, то в апреле наконец пополнил свою копилку на 178 баллов. Прежде всего это произошло из-за роста общей упоминаемости президента: она оказалась даже выше, чем в январе, когда число исследуемых публикаций составляло 24 270 против апрельских 23 870. На увеличении количества упоминаний в свою очередь сказалось оглашение президентского послания Федеральному собранию, которому СМИ уделили особое внимание.
![]() |
У подавляющего большинства участников рейтинга заботы другого масштаба, и им о прибавках в сотни баллов остается только мечтать. Но и здесь есть свои достижения и неудачи. Например, главный финразведчик Виктор Зубков в апреле прибавил всего 16 баллов, но зато поднялся сразу на 98 мест. А у приморского губернатора Сергея Дарькина все абсолютно наоборот: минус те же 16 баллов — и 98 ступеней вниз.
Прогноз на май по многим позициям выглядит достаточно очевидным. Селезнев и Зюганов, скорее всего, сбавят ход, хотя, возможно, и останутся в первой двадцатке. Касьянов, напротив, должен хотя бы немного прибавить — и за счет реакции на критику президента, и благодаря второй годовщине назначения на пост премьера. А дебютанты рейтинга выступят по-разному: молчаливый Зязиков опустится на дно первого дивизиона, а Фетисов постарается обосноваться среди лидеров — спортивные события мая (чемпионат мира по хоккею, кубок России по футболу и подготовка футбольной сборной к мировому первенству) этому очень способствуют.
Табл.6
| Место | Деятель | Рейтинг |
|---|---|---|
| 1 (1) | Путин Владимир | 3455 (+178) |
| 2 (2) | Касьянов Михаил | 910 (-841) |
| 3 (9) | Селезнев Геннадий | 686 (+251) |
| 4 (10) | Кудрин Алексей | 493 (+94) |
| 5 (7) | Лужков Юрий | 401 (-48) |
| 6 (4) | Иванов Сергей | 383 (-370) |
| 7 (5) | Игнатьев Сергей | 360 (-334) |
| 8 (20) | Греф Герман | 326 (+162) |
| 9 (37) | Зюганов Геннадий | 303 (+232) |
| 10 (19) | Матвиенко Валентина | 284 (+115) |
| 11 (24) | Лебедь Александр | 268 (+126) |
| 12 (16) | Гордеев Алексей | 254 (+39) |
| 13 (17) | Чубайс Анатолий | 254 (+54) |
| 14 (6) | Иванов Игорь | 237 (-388) |
| 15 (22) | Степашин Сергей | 205 (+45) |
| 16 (59) | Починок Александр | 193 (+170) |
| 17 (47) | Грызлов Борис | 180 (+135) |
| 18 (18) | Ельцин Борис | 162 (-23) |
| 19 (8) | Миронов Сергей | 160 (-279) |
| 20 (15) | Христенко Виктор | 151 (-64) |
| 21 (100) | Аушев Руслан | 145 (+136) |
| 22 (40) | Шойгу Сергей | 137 (+74) |
| 23 (13) | Илларионов Андрей | 135 (-144) |
| 24 (3) | Геращенко Виктор | 122 (-691) |
| 25 (11) | Бородин Павел | 107 (-259) |
| 26 (62) | Тулеев Аман | 103 (+84) |
| 27 (61) | Фадеев Геннадий | 103 (+84) |
| 28 (82) | Строев Егор | 100 (+87) |
| 29 (70) | Ястржембский Сергей | 96 (+80) |
| 30 (12) | Березовский Борис | 96 (-195) |
| 31 (33) | Жириновский Владимир | 85 (-26) |
| 32 (71) | Кадыров Ахмад | 84 (+68) |
| 33 (--) | Зязиков Мурад | 81 (--) |
| 34 (43) | Володин Вячеслав | 81 (+20) |
| 35 (--) | Фетисов Вячеслав | 80 (--) |
| 36 (36) | Миллер Алексей | 75 (+4) |
| 37 (35) | Горбачев Михаил | 71 (-20) |
| 38 (21) | Киселев Евгений | 67 (-96) |
| 39 (57) | Устинов Владимир | 65 (+42) |
| 40 (34) | Немцов Борис | 64 (-30) |
| 41 (44) | Швыдкой Михаил | 62 (+2) |
| 42 (32) | Примаков Евгений | 61 (-53) |
| 43 (54) | Райков Геннадий | 58 (+31) |
| 44 (31) | Лесин Михаил | 53 (-64) |
| 45 (42) | Алексий II | 44 (-18) |
| 46 (38) | Черномырдин Виктор | 44 (-24) |
| 47 (52) | Зурабов Михаил | 44 (+15) |
| 48 (41) | Волошин Александр | 40 (-22) |
| 49 (45) | Громов Борис | 32 (-27) |
| 50 (79) | Казанцев Виктор | 30 (+16) |
| 51 (14) | Вешняков Александр | 26 (-196) |
| 52 (56) | Ходорковский Михаил | 26 (+2) |
| 53 (25) | Шохин Александр | 26 (-115) |
| 54 (26) | Филиппов Владимир | 24 (-115) |
| 55 (66) | Бендукидзе Каха | 21 (+4) |
| 56 (74) | Квашнин Анатолий | 21 (+5) |
| 57 (51) | Потанин Владимир | 21 (-9) |
| 58 (27) | Рушайло Владимир | 20 (-112) |
| 59 (63) | Пехтин Владимир | 20 (+1) |
| 60 (158) | Зубков Виктор | 18 (+16) |
| 61 (75) | Титов Константин | 18 (+2) |
| 62 (80) | Катанандов Сергей | 17 (+4) |
| 63 (50) | Харитонов Николай | 16 (-20) |
| 64 (39) | Гусинский Владимир | 16 (-48) |
| 65 (67) | Яковлев Владимир | 16 (-1) |
| 66 (23) | Клебанов Илья | 16 (-133) |
| 67 (72) | Шаймиев Минтимер | 16 (0) |
| 68 (150) | Лебедь Алексей | 16 (+13) |
| 69 (30) | Юсуфов Игорь | 15 (-109) |
| 70 (145) | Козак Дмитрий | 15 (+12) |
| 71 (140) | Гуцериев Михаил | 15 (+11) |
| 72 (83) | Слиска Любовь | 15 (+2) |
| 73 (46) | Дерипаска Олег | 15 (-31) |
| 74 (28) | Патрушев Николай | 14 (-115) |
| 75 (48) | Жуков Александр | 14 (-28) |
| 76 (93) | Россель Эдуард | 14 (+4) |
| 77 (69) | Горегляд Валерий | 13 (-4) |
| 78 (91) | Явлинский Григорий | 13 (+3) |
| 79 (29) | Рогозин Дмитрий | 13 (-116) |
| 80 (119) | Добродеев Олег | 13 (+7) |
| 81 (128) | Кириенко Сергей | 13 (+8) |
| 82 (130) | Аяцков Дмитрий | 12 (+7) |
| 83 (77) | Казьмин Андрей | 12 (-3) |
| 84 (73) | Морозов Олег | 12 (-4) |
| 85 (85) | Хакамада Ирина | 12 (0) |
| 86 (153) | Тоцкий Константин | 12 (+9) |
| 87 (143) | Авен Петр | 11 (+8) |
| 88 (58) | Николаев Андрей | 11 (-12) |
| 89 (49) | Абрамович Роман | 11 (-30) |
| 90 (84) | Полтавченко Георгий | 11 (-2) |
| 91 (55) | Хлопонин Александр | 10 (-16) |
| 92 (110) | Илюмжинов Кирсан | 10 (+2) |
| 93 (60) | Митрофанов Алексей | 10 (-10) |
| 94 (53) | Рейман Леонид | 10 (-18) |
| 95 (89) | Глазьев Сергей | 10 (-1) |
| 96 (131) | Шмаков Михаил | 10 (+5) |
| 97 (144) | Кулаков Владимир | 10 (+7) |
| 98 (112) | Коптев Юрий | 9 (+2) |
| 99 (118) | Кожин Владимир | 9 (+3) |
| 100 (90) | Чайка Юрий | 9 (-1) |
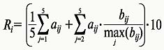
В табл. 6 приведен общий ретинг ньюсмейкеров, вычисленный по совокупности всех параметров табл. 1-5.
Итоговый рейтинг рассчитан следующим образом.
Для каждого политика выведен средний показатель по табл. 1 (показатели из табл. 1 суммируются, сумма делится на 5).
К этому среднему показателю политики, вошедшие в табл. 1, прибавляются бонусы, рассчитанные на основе табл. 2-5.
Расчет бонусов приведем на примере таблицы "Авторитеты".
Авторитетность политика, занявшего первое место в этой таблице, принимается за 1. Авторитетность остальных политиков пересчитываются в долях от показателя лидера. Таким образом, каждый политик получает некий коэффициент авторитетности. Этот коэффициент умножается на показатель политика по парному для "Авторитетов" параметру "Цитируемость". Полученное произведение и есть бонус.
Бонусы по параметрам "Заголовщики", "Воротилы" и "Придворные" рассчитываются аналогичным образом.
После того как все бонусы прибавлены, полученная сумма для удобства восприятия умножается на 10.
Описанную процедуру можно представить в виде следующей формулы:
![]() |
Замеры производились по ресурсам Национальной электронной библиотеки. При подсчете учитывались публикации в следующих СМИ
Газеты: Аргументы и факты, Ведомости, Версия, Вечерняя Москва, Время MN, Время новостей, Гудок, Газета, Завтра, Известия, Коммерсантъ, Комсомольская правда, Красная звезда, Литературная газета, Московская правда, Московские новости, Московский комсомолец, Независимая газета, Новая газета, Новые Известия, Общая газета, Парламентская газета, Российская газета, Совершенно секретно, Советская Россия, Трибуна, Труд, Экономика и жизнь
Журналы: Еженедельный журнал, Итоги, Коммерсантъ-Власть, Коммерсантъ-Деньги, Компания, Огонек, Профиль, Российская Федерация сегодня, Эксперт
Новостные выпуски теле- и радиокомпаний: ОРТ, РТР, ТВЦ, НТВ, ТВ-6, Радио "Маяк", Радио России, Радио "Эхо Москвы" (мониторинг Центра региональных прикладных исследований).
В разработке проекта принимали участие Сергей Никулин, Андрей Моченов, Павел Черников
Статистика: Михаил Лукин, Анна и Павел Черниковы







