Самые влиятельные люди России
"Власть" продолжает публиковать ежемесячный рейтинг самых влиятельных российских чиновников, политиков и бизнесменов. Сегодня — рейтинг за март 2002 года.
Напомним, что для оценки влиятельности политиков мы применяем метод статистического исследования российских СМИ, которое проводится по девяти параметрам. Смысл и способ расчета каждого параметра излагаются в комментариях к таблицам 1-5. Итоговый рейтинг приводится в таблице 6. Рейтинг рассчитан для 180 российских политиков и бизнесменов, в число которых входят руководители всех ветвей власти, ведущие министры, главы регионов, крупнейшие бизнесмены и финансисты.
Исходя из главного показателя — индекса упоминаемости в прессе — все участники рейтинга разделены на два дивизиона. Представители первого (их имена перечислены в таблице 1) участвуют в борьбе за первенство в отдельных номинациях (таблицы 2-5).
Февральский рекордсмен Михаил Касьянов в марте слегка сбавил темп и не смог сократить отставание по общей упоминаемости от Владимира Путина, ухудшив свой результат на 0,75 процентного пункта. Прибавить премьеру удалось лишь в графе "Цитируемость" (+12,5 пункта), тогда как по заголовкам и в номинации "Рядом с П" он отступил более чем на 2 пункта, а в разделе "Деньги" и вовсе провалился — падение на 42,6 пункта. Напомним, что как раз в денежном рейтинге Касьянов в феврале выступил наиболее впечатляющим образом, обойдя почти на 18% самого президента, чьи показатели принимаются в таблице за 100%. Тем не менее премьер по-прежнему остается главным конкурентом президента в гонке за лидерство по общей упоминаемости, ведь остальные участники рейтинга отстают еще больше.
Юрий Лужков демонстрирует завидную стабильность, второй месяц оставаясь в тройке лидеров (хотя выше шестого места мэр Москвы в таблице 1 нигде не поднялся). Борис Ельцин серьезно укрепил свои позиции за счет номинации "Рядом с П", в которой было учтено участие президента Путина в праздновании юбилея Наины Иосифовны Ельциной. Резко улучшил свои показатели Геннадий Селезнев — в основном из-за не слишком приятных для него событий в нижней палате, где в марте обсуждался вопрос об отставке председателя Госдумы и назначенного им руководителя аппарата.
Блестяще, как и следовало ожидать, отработала связка Геращенко--Игнатьев. Первый, благодаря своей нашумевшей отставке, поднялся сразу на 37 мест, а второй, не проработав и месяца на посту главы Центробанка, едва не ворвался в десятку лидеров по общей упоминаемости. Зато не оправдал надежд другой тандем — Евгений Киселев--Михаил Лесин. Несмотря на проведение конкурса на частоту ТВ-6, их показатели не улучшились, а у министра печати даже ухудшились. Что, впрочем, не так уж плохо: выходит, участникам и организаторам конкурса действительно удалось обойтись без нагнетания вокруг него политических страстей.
В то же время бывший лидер ОВР, один из руководителей некоммерческого партнерства "Медиа-социум" (выигравшего лицензию на шестой канал) Евгений Примаков в марте прыгнул с 40-го на 14-е место, обойдя всех действующих руководителей думских фракций. Бывший вице-премьер Илья Клебанов, как и предполагала "Власть", покинул группу лидеров. А вот вице-премьер и министр сельского хозяйства Алексей Гордеев продолжил восхождение, дослужившись в своих предпосевных заботах до 21-го места.
Наибольшего прогресса по упоминаемости среди всех 180 участников рейтинга добился Егор Гайдар. Этой славой он, скорее всего, обязан тому же Игнатьеву, которого когда-то взял в свою команду (этот факт фигурировал в материалах большинства СМИ, рассказывавших о новом главе Центробанка). А вот рейтинг председателя Высшего арбитражного суда Вениамина Яковлева, напротив, рухнул, доказав, что февральский всплеск его популярности был случайным. Среди отстающих оказался и глава комитета финансового мониторинга Виктор Зубков, которому в прошлый раз мы предсказывали дальнейшее восхождение. Виной тому, вероятно, его нелюбовь к общению с журналистами.
Заголовщики
Номинация "Заголовщики", позволяющая ответить на вопрос, кто из участников рейтинга чаще других становился главным героем публикаций СМИ, оказалась самой стабильной: в ней по-прежнему лидируют два Ивановых — Сергей (министр обороны) и Игорь (министр иностранных дел). Причем глава военного ведомства увеличил свой и без того высокий результат еще на три с лишним пункта, установив новый рекорд номинации. Впрочем, в марте с наилучшей стороны проявили себя оба лидера: министр обороны делился опытом борьбы с терроризмом в США и на международном форуме в Санкт-Петербурге, а глава МИДа отметился тремя зарубежными визитами и пристальным вниманием к ситуации на Ближнем Востоке.
На третью позицию поднялся Виктор Геращенко, которому совсем немного уступил госсекретарь Союзного государства России и Белоруссии Павел Бородин, приговоренный в марте швейцарскими прокурорами к штрафу в размере 300 тыс. швейцарских франков ($175 тыс.). Достойно выступил дебютировавший в рейтинге новый глава ЦБ Сергей Игнатьев, с ходу вошедший в десятку лидеров.
Из претендентов на "Кубок прогресса" в этой номинации более других отличились трое. На 27 ступеней поднялся так пока и не отставленный спикер Госдумы Геннадий Селезнев: настойчивые разговоры о его отставке либо об отстранении от должности назначенного спикером руководителя думского аппарата Николая Трошкина обеспечили председателю нижней палаты хороший прирост рейтинга. Ушедший на покой Виктор Геращенко успел напоследок отметиться целым фейерверком публикаций, посвященных его долгому и беззаветному служению своей финансовой родине (+26 мест). Борис Березовский продемонстрировал 5 марта долгожданный видеофильм о взрывах жилых домов в Москве и Волгодонске. Фильм убедил далеко не всех, но 25 ступеней в этой номинации Березовскому все же помог преодолеть.
"Антигероем" рейтинга, как и предполагала "Власть", оказался Илья Клебанов, который после сложения полномочий вице-премьера стал появляться на телеэкранах и страницах печатных СМИ все реже и реже. Резко сбавил темп входивший в феврале в число лидеров министр образования Владимир Филиппов, опустившийся на 15 позиций. Наконец, глава МЧС Сергей Шойгу и вовсе выпал из первой двадцатки, что, впрочем, можно считать хорошим знаком в период традиционных весенних паводков.
Абсолютное лидерство среди "заголовщиков", как обычно, досталось политикам, не вошедшим в первый дивизион. Первое место среди 180 участников рейтинга занял ставропольский губернатор Александр Черногоров (75%, но лишь 121-е место по упоминаемости).
Авторитеты
Номинация "Авторитеты" отражает внимание СМИ к мнениям политиков. Январский лидер в этой номинации председатель Центризбиркома Александр Вешняков взял реванш за февральское поражение у министра образования Филиппова. В этом ему помогли работа над законопроектом "О гарантиях избирательных прав", который готовится ко второму чтению в Госдуме, и поездки по ряду регионов, где проходят губернаторские выборы.
На второе место из второго дивизиона поднялся директор ФСБ Николай Патрушев: в марте он отметился в прессе не только участием в антитеррористическом форуме в Петербурге, но и своими комментариями по делу Олега Калугина, которого ФСБ обвинила в государственной измене. Генпрокурор Владимир Устинов, который в феврале был вторым, напротив, резко сдал: в его мартовской работе журналисты не обнаружили столь же интересной темы, какой были в феврале предварительные итоги расследования гибели "Курска".
Также из второго дивизиона вернулись в первую десятку депутаты Госдумы Дмитрий Рогозин и Александр Шохин. Рогозин, как глава комитета по международным делам, сосредоточился в феврале на двух проблемах: взаимоотношениях России с Грузией в свете абхазской и чеченской проблем и защите Южных Курил от посягательств Японии. Интерес СМИ к Александру Шохину был сродни случаю с Геращенко — в марте Шохин покинул пост главы банковского комитета Госдумы и ушел в большой бизнес, заставив журналистов рассуждать о его возможных преемниках.
Любопытно отступление на 9 позиций Александра Лебедя. Несмотря на его напряженную борьбу за Норильск, к его мнению по поводу этого конфликта СМИ, видимо, прислушиваются не так внимательно, как хотелось бы генералу. Тем не менее красноярский губернатор остается самым цитируемым из региональных политиков, если не считать мэра Москвы Лужкова.
Наибольшего прогресса среди авторитетов добился секретарь Совета безопасности Владимир Рушайло: в марте он организовал первую со времени назначения на эту должность пресс-конференцию и провел в Сочи встречу с секретарями СБ Азербайджана, Армении и Грузии. Логичен и подъем на 15 ступеней главы президентской администрации Александра Волошина: в прошлом месяце он побывал с президентом в Одессе, где журналисты постарались вытянуть из него максимум информации по наиболее насущным проблемам страны.
Ниже всех среди мартовских авторитетов пал Герман Греф — несмотря на частое упоминание в СМИ, цитат из его высказываний в прессе было маловато. Обращает на себя внимание и регресс Виктора Геращенко. Как уже отмечалось, говорили об отставке главы ЦБ все центральные СМИ, но вот цитировать многие предпочитали уже его преемника Сергея Игнатьева.
Среди малоупоминаемых политиков второй месяц подряд неплохо проявляет себя глава думского комитета по обороне Андрей Николаев. Если бы он соревновался в этой номинации наравне с остальными, то занял бы первое место (56,67%). Однако по общей упоминаемости Николаев не только не вошел в 50 лучших, но и опустился с 88-го на 91-е место.
Воротилы
Еще месяц назад лидерство Виктора Геращенко в рейтинге воротил, призванном оценить экономическую активность его участников, казалось неоспоримым. Впрочем, даже отставка не смогла подорвать экономическую мощь экс-главы Центробанка, сумевшего по итогам марта удержаться на второй позиции.
Лидером же неожиданно стал госсекретарь Союза Белоруссии и России Павел Бородин. В мартовской прессе слова "Бородин" и "деньги" были действительно неразделимы: сначала все СМИ сообщили о штрафе в 300 тыс. швейцарских франков, который швейцарские прокуроры наложили на бывшего управделами президента, а потом долго и с неподдельным интересом обсуждали, будет ли Пал Палыч эти деньги платить.
Третье место среди воротил занял помощник президента по экономике Андрей Илларионов. Доброй половиной этого успеха он также обязан отставке Геращенко: описывая творческий путь экс-председателя ЦБ, комментаторы часто поминали и Илларионова, нередко критиковавшего Геращенко за поддержание высокого курса рубля. Впрочем, удержаться в тройке лидеров президентскому помощнику будет крайне трудно: Сергей Игнатьев в апреле наверняка постарается занять в этой номинации первое место, два месяца принадлежавшее его предшественнику.
Глава Счетной палаты Сергей Степашин сильно прибавил в денежном рейтинге, обнаружив в Чечне нецелевое расходование казенных средств. Проблема норильских денег позволяет прочно удерживаться в первой десятке губернатору Лебедю. Десятое место Александра Вешнякова тоже вряд ли можно назвать случайным, ведь проблема расходования средств является одной из наиболее насущных для кандидатов на любых выборах.
Кубок прогресса в этой номинации заработал чукотский губернатор Роман Абрамович. Среди своих коллег по "Медиа-социуму", также фигурирующих в числе 50 лучших в связи с конкурсом на "шестую кнопку", он сумел выделиться благодаря ежегодному рейтингу журнала Forbes. По утверждению журнала, в минувшем году "начальник Чукотки" стал самым богатым россиянином: его состояние Forbes оценил в $3 млрд. Разумеется, пройти мимо столь радостного для жителей Чукотки факта российские журналисты никак не могли.
Лидер СПС Борис Немцов свои 16 мест прибавки заработал на куда менее внушительных суммах. В марте в его партии горячо обсуждали проблему членских взносов, составляющих сейчас 300 рублей в год, а сам он воевал за пенсионную реформу с главой Пенсионного фонда РФ Михаилом Зурабовым. Хуже всех показал себя вице-премьер и министр сельского хозяйства Алексей Гордеев (-25 мест): видимо, деньги, выделенные на сельское хозяйство в начале года, уже закончились. На 24 ступеньки (после февральского подъема на 28 позиций) опустился Евгений Киселев. Выиграв конкурс на частоту ТВ-6, он снова превратился в журналиста, оставив решение финансовых проблем профессионалам-олигархам.
Среди 180 участников рейтинга также лидирует Павел Бородин. Но если бы итоги в номинации подводились без учета общей упоминаемости, то президент Удмуртии Александр Волков уступил бы победителю всего полпроцента. Правда, 162-е место по упоминаемости вряд ли позволит удмуртскому лидеру в обозримом будущем войти в первый дивизион.
Придворные
Рейтинг "Придворные" позволяет оценить самостоятельность политиков и степень их зависимости от президента: чем ниже рейтинг, тем более самостоятелен его обладатель.
Вновь, как и в феврале, второе место вслед за Путиным занял глава его администрации Александр Волошин, приблизившийся к своему шефу еще на 0,8 процентного пункта. Владимир Рушайло, наоборот, от президента чуть отдалился, уступив третье место Александру Лебедю. Генерал, оказав теплый прием побывавшему в Красноярском крае Владимиру Путину, прибавил почти 40 процентных пунктов.
Стабильно держатся в первой десятке Борис Ельцин и неразлучная парочка политических антагонистов Геннадий Зюганов--Борис Немцов. Но в апреле вождь КПРФ может подняться и повыше: на передел центристами пакетного соглашения (подробнее см. стр. 10) он ответил новой серией разоблачительных заявлений об антинародном режиме в целом и об установившем этот режим президенте в частности.
Наибольшего прогресса в марте добился Лебедь, взлетевший на 38 позиций. На 28 ступеней поднялся уволенный Путиным Виктор Геращенко, на 20 — президент СССР Михаил Горбачев, встретившийся с Путиным в качестве персонажа выставки творений президентских фотографов.
Зато Михаил Касьянов продолжает укреплять свою политическую самостоятельность. В феврале премьер опустился в рейтинге "придворных" со стартового 23-го на 31-е место, а в марте отдалился от президента еще на 9 ступеней.
Хуже всех выступил вице-премьер Алексей Гордеев, опустившийся, как и в рейтинге воротил, на 25 мест. Совпадение, может быть, и случайное, но в чем-то закономерное: похоже, отдаление от президента людей, курирующих сельское хозяйство, оборачивается ощутимыми материальными потерями для всей отрасли. Симптоматичен и регресс Бориса Березовского (-11 мест) после февральского подъема на 15 позиций. Вопреки ожиданиям в его широко разрекламированном фильме, вышедшем на экраны 5 марта, журналисты так и не нашли прямых указаний на роль Путина в истории с организацией взрывов в Москве и Волгодонске.
Среди представителей второго дивизиона в марте нашлись сразу два политика, повторившие абсолютный февральский рекорд руководителя секретариата президента Игоря Сечина. В 100% публикаций, где были названы имена замглавы президентской администрации Александра Абрамова и дочери Бориса Ельцина Татьяны Дьяченко (Юмашевой), упоминался и Путин. А в досье самого Сечина на этот раз обнаружились аж 12% материалов, в которых о его начальнике не было ни слова.
Итог: взлет в связи с отставкой
Как показывает итоговый рейтинг, составленный с учетом всех девяти параметров, Михаил Касьянов пока не смог развить свой февральский успех и начал отставать от лидера. Если в прошлом месяце он удвоил свой результат, прибавив более 1000 баллов, то в марте потерял почти 300. А поскольку рейтинг президента понизился всего на 40 баллов, разрыв между двумя лидерами снова вырос. Впрочем, вполне возможно, что Касьянов просто копит силы и в апреле предпримет новый спурт.
Прощальная гастроль Виктора Геращенко оказалась более чем эффектной. Перед тем как покинуть рейтинг, экс-глава ЦБ занял третье место, оттеснив на четвертое стабильного Сергея Иванова. Сменщик Геращенко тоже проявил себя неплохо, сразу попав в первую пятерку, и в апреле должен как минимум в ней закрепиться. Возможно, продолжит восхождение Геннадий Селезнев: какое бы решение о своем будущем ни принял спикер Госдумы, оно в любом случае станет предметом многочисленных комментариев в СМИ. "Исправился" спикер Совета федерации Сергей Миронов, который, опустившись в феврале с третьего на 13-е место, в марте снова вернулся в десятку, покорив публику своим отказом встречаться с Арафатом.
Однако самый удивительный результат показал министр связи Леонид Рейман, поднявшийся в итоговом рейтинге на 77 мест. Причем каких-то особых подвигов ему для этого совершать не потребовалось — достаточно было поучаствовать в паре специализированных выставок и провести расширенную коллегию министерства. А больше всего очков Рейман заработал на мероприятии, которое вообще не посещал: очень многие журналисты не преминули отметить, что министр связи по установленной им традиции не пришел на заседание Федеральной конкурсной комиссии, решавшей судьбу шестого телеканала.
В наступившем месяце стоит обратить внимание прежде всего на Сергея Игнатьева, которому предстоит бороться не только с реальными соперниками, но и с "тенью Геращенко". Благодаря целой череде региональных выборов есть шанс приблизиться к лидерам у Александра Вешнякова. Наконец, последние события в Госдуме могут серьезно сказаться на результатах участвующих в рейтинге депутатов.
ДМИТРИЙ КАМЫШЕВ
Всего материалов СМИ 21697
Путинские показатели
Упоминаемость 2069
Заголовки 1008
Цитируемость 317
Деньги 221
Рядом с П 2069
Российские ньюсмейкеры в долях от президента (Таблица 1)
Статистические данные собраны по 180 российским политикам. В табл. 1-5 приводятся данные по 50 наиболее упоминаемым.
Под "Упоминаемостью" понимается количество материалов СМИ, в которых встречается имя политика.
Параметр "Заголовки" оценивает "качественную" упоминаемость политика: он рассчитывается исходя из упоминаемости политика в заголовках и первых фразах сообщений прессы. Этот параметр позволяет отсечь случайные упоминания и зафиксировать лишь те сообщения, в которых политик является одним из главных героев.
Параметр "Цитируемость" оценивает авторитетность политика: фиксируются те сообщения СМИ, в которых в том или ином виде содержится ссылка на слова политика.
Параметр "Деньги" косвенным образом оценивает "экономическую активность" политика. Фиксируются сообщения, в которых его имя упоминается в контексте тех или иных денежных сумм.
Параметр "Рядом с П" характеризует совместную встречаемость имен политика и президента страны.
В табл. 1 абсолютные показатели президента по каждому из параметров считаются эталонными и принимаются за 100%. Показатели остальных политиков считаются в процентах от соответствующих показателей Владимира Путина.
Политики в табл. 1 ранжированы по параметру "Упоминаемость". В скобках указывается место в рейтинге по другим параметрам. В колонке "Место" в скобках указывается место по "Упоминаемости" в прошлом месяце.
ТАБЛ. 2
В табл. 1 "качественная" упоминаемость политика сравнивается с аналогичным президентским показателем.
В табл. 2 "качественная" упоминаемость политика сравнивается с его общей упоминаемостью. Тот, у кого среди всех упоминаний больше доля упоминаний в заголовках и первых фразах сообщений СМИ, занимает более высокое место.
Данные в колонке "Заголовщики" указаны в процентах. В колонке "Заголовки" указано место, занятое политиком по соответствующему параметру в табл. 1. В скобках указывается место, занятое в предыдущем месяце.
ТАБЛ. 3
В табл. 1 цитируемость политика сравнивается с аналогичным президентским показателем.
В табл. 3 цитируемость политика сравнивается с его общей упоминаемостью. Тот, у кого среди всех упоминаний больше доля прямых или косвенных цитат, занимает более высокое место.
Данные в колонке "Авторитеты" указаны в процентах. В колонке "Цитируемость" указано место, занятое политиком по соответствующему параметру в табл. 1.
В скобках указывается место, занятое в предыдущем месяце.
ТАБЛ. 4
В табл. 1 упоминаемость политика в денежном контексте сравнивается с аналогичным президентским показателем.
В табл. 4 денежная совместимость политика сравнивается с его общей упоминаемостью. Тот, у кого среди всех контекстов больше доля денежных, занимает более высокое место.
Данные в колонке "Воротилы" указаны в процентах. В колонке "Деньги" указано место, занятое политиком по соответствующему параметру в табл. 1.
В скобках указывается место, занятое в предыдущем месяце.
ТАБЛ. 5
В табл. 1 количество материалов СМИ, в которых упоминаются и политик, и президент, фактически сравнивается с упоминаемостью президента (показатель "Рядом с П" для Владимира Путина совпадает с показателем "Упоминаемость"). Несколько огрубляя, можно сказать, что табл. 1 дает представление о том, какое место в жизни президента занимает политик.
В табл. 5 совместная упоминаемость политика и президента сравнивается с общей упоминаемостью политика. Также несколько огрубляя, можно сказать, что табл. 5 дает представление о том, какое место в жизни политика занимает президент.
Тот, у кого среди всех контекстов больше доля президентских, занимает более высокое место.
Данные в колонке "Придворные" указаны в процентах. В колонке "Рядом с П" указано место, занятое политиком по соответствующему параметру в табл. 1. В скобках указывается место, занятое в предыдущем месяце.
Российские ньюсмейкеры в долях от президента (Таблица 6)
В табл. 6 приведен общий ретинг ньюсмейкеров, вычисленный по совокупности всех параметров табл. 1-5.
Итоговый рейтинг рассчитан следующим образом.
Для каждого политика выведен средний показатель по табл. 1 (показатели из табл. 1 суммируются, сумма делится на 5).
К этому среднему показателю политики, вошедшие в табл. 1, прибавляются бонусы, рассчитанные на основе табл. 2-5.
Расчет бонусов приведем на примере таблицы "Авторитеты".
Авторитетность политика, занявшего первое место в этой таблице, принимается за 1. Авторитетность остальных политиков пересчитываются в долях от показателя лидера. Таким образом, каждый политик получает некий коэффициент авторитетности. Этот коэффициент умножается на показатель политика по парному для "Авторитетов" параметру "Цитируемость". Полученное произведение и есть бонус.
Бонусы по параметрам "Заголовщики", "Воротилы" и "Придворные" рассчитываются аналогичным образом.
После того как все бонусы прибавлены, полученная сумма для удобства восприятия умножается на 10.
Описанную процедуру можно представить в виде следующей формулы:
где i — место ньюсмейкера по упоминаемости (Владимир Путин имеет индекс i=1); j — номер параметра рейтинга (от "Упоминаемости" (j=1) до "Рядом с П" (j=5)); aij — количество материалов СМИ, на основе которого рассчитан показатель по j-му параметру i-го ньюсмейкера; Ri — итоговый показатель i-го ньюсмейкера.
Замеры производились по ресурсам Национальной электронной библиотеки. При подсчете учитывались публикации в следующих СМИ
Газеты: Аргументы и факты, Ведомости, Версия, Вечерняя Москва, Время MN, Время новостей, Гудок, Газета, Завтра, Известия, Коммерсантъ, Комсомольская правда, Красная звезда, Литературная газета, Московская правда, Московские новости, Московский комсомолец, Независимая газета, Новая газета, Новые Известия, Общая газета, Парламентская газета, Российская газета, Совершенно секретно, Советская Россия, Трибуна, Труд, Экономика и жизнь
Журналы: Еженедельный журнал, Итоги, Коммерсантъ-Власть, Коммерсантъ-Деньги, Компания, Огонек, Профиль, Российская Федерация сегодня, Эксперт
Новостные выпуски теле- и радиокомпаний: ОРТ, РТР, ТВЦ, НТВ, ТВ-6, Радио "Маяк", Радио России, Радио "Эхо Москвы" (мониторинг Центра региональных прикладных исследований).
В разработке проекта принимали участие Сергей Никулин, Андрей Моченов, Павел Черников
Статистика: Михаил Лукин, Анна и Павел Черниковы
![]() |
Исходя из главного показателя — индекса упоминаемости в прессе — все участники рейтинга разделены на два дивизиона. Представители первого (их имена перечислены в таблице 1) участвуют в борьбе за первенство в отдельных номинациях (таблицы 2-5).
Февральский рекордсмен Михаил Касьянов в марте слегка сбавил темп и не смог сократить отставание по общей упоминаемости от Владимира Путина, ухудшив свой результат на 0,75 процентного пункта. Прибавить премьеру удалось лишь в графе "Цитируемость" (+12,5 пункта), тогда как по заголовкам и в номинации "Рядом с П" он отступил более чем на 2 пункта, а в разделе "Деньги" и вовсе провалился — падение на 42,6 пункта. Напомним, что как раз в денежном рейтинге Касьянов в феврале выступил наиболее впечатляющим образом, обойдя почти на 18% самого президента, чьи показатели принимаются в таблице за 100%. Тем не менее премьер по-прежнему остается главным конкурентом президента в гонке за лидерство по общей упоминаемости, ведь остальные участники рейтинга отстают еще больше.
Юрий Лужков демонстрирует завидную стабильность, второй месяц оставаясь в тройке лидеров (хотя выше шестого места мэр Москвы в таблице 1 нигде не поднялся). Борис Ельцин серьезно укрепил свои позиции за счет номинации "Рядом с П", в которой было учтено участие президента Путина в праздновании юбилея Наины Иосифовны Ельциной. Резко улучшил свои показатели Геннадий Селезнев — в основном из-за не слишком приятных для него событий в нижней палате, где в марте обсуждался вопрос об отставке председателя Госдумы и назначенного им руководителя аппарата.
Блестяще, как и следовало ожидать, отработала связка Геращенко--Игнатьев. Первый, благодаря своей нашумевшей отставке, поднялся сразу на 37 мест, а второй, не проработав и месяца на посту главы Центробанка, едва не ворвался в десятку лидеров по общей упоминаемости. Зато не оправдал надежд другой тандем — Евгений Киселев--Михаил Лесин. Несмотря на проведение конкурса на частоту ТВ-6, их показатели не улучшились, а у министра печати даже ухудшились. Что, впрочем, не так уж плохо: выходит, участникам и организаторам конкурса действительно удалось обойтись без нагнетания вокруг него политических страстей.
В то же время бывший лидер ОВР, один из руководителей некоммерческого партнерства "Медиа-социум" (выигравшего лицензию на шестой канал) Евгений Примаков в марте прыгнул с 40-го на 14-е место, обойдя всех действующих руководителей думских фракций. Бывший вице-премьер Илья Клебанов, как и предполагала "Власть", покинул группу лидеров. А вот вице-премьер и министр сельского хозяйства Алексей Гордеев продолжил восхождение, дослужившись в своих предпосевных заботах до 21-го места.
Наибольшего прогресса по упоминаемости среди всех 180 участников рейтинга добился Егор Гайдар. Этой славой он, скорее всего, обязан тому же Игнатьеву, которого когда-то взял в свою команду (этот факт фигурировал в материалах большинства СМИ, рассказывавших о новом главе Центробанка). А вот рейтинг председателя Высшего арбитражного суда Вениамина Яковлева, напротив, рухнул, доказав, что февральский всплеск его популярности был случайным. Среди отстающих оказался и глава комитета финансового мониторинга Виктор Зубков, которому в прошлый раз мы предсказывали дальнейшее восхождение. Виной тому, вероятно, его нелюбовь к общению с журналистами.
Заголовщики
![]() |
На третью позицию поднялся Виктор Геращенко, которому совсем немного уступил госсекретарь Союзного государства России и Белоруссии Павел Бородин, приговоренный в марте швейцарскими прокурорами к штрафу в размере 300 тыс. швейцарских франков ($175 тыс.). Достойно выступил дебютировавший в рейтинге новый глава ЦБ Сергей Игнатьев, с ходу вошедший в десятку лидеров.
Из претендентов на "Кубок прогресса" в этой номинации более других отличились трое. На 27 ступеней поднялся так пока и не отставленный спикер Госдумы Геннадий Селезнев: настойчивые разговоры о его отставке либо об отстранении от должности назначенного спикером руководителя думского аппарата Николая Трошкина обеспечили председателю нижней палаты хороший прирост рейтинга. Ушедший на покой Виктор Геращенко успел напоследок отметиться целым фейерверком публикаций, посвященных его долгому и беззаветному служению своей финансовой родине (+26 мест). Борис Березовский продемонстрировал 5 марта долгожданный видеофильм о взрывах жилых домов в Москве и Волгодонске. Фильм убедил далеко не всех, но 25 ступеней в этой номинации Березовскому все же помог преодолеть.
"Антигероем" рейтинга, как и предполагала "Власть", оказался Илья Клебанов, который после сложения полномочий вице-премьера стал появляться на телеэкранах и страницах печатных СМИ все реже и реже. Резко сбавил темп входивший в феврале в число лидеров министр образования Владимир Филиппов, опустившийся на 15 позиций. Наконец, глава МЧС Сергей Шойгу и вовсе выпал из первой двадцатки, что, впрочем, можно считать хорошим знаком в период традиционных весенних паводков.
Абсолютное лидерство среди "заголовщиков", как обычно, досталось политикам, не вошедшим в первый дивизион. Первое место среди 180 участников рейтинга занял ставропольский губернатор Александр Черногоров (75%, но лишь 121-е место по упоминаемости).
Авторитеты
![]() |
На второе место из второго дивизиона поднялся директор ФСБ Николай Патрушев: в марте он отметился в прессе не только участием в антитеррористическом форуме в Петербурге, но и своими комментариями по делу Олега Калугина, которого ФСБ обвинила в государственной измене. Генпрокурор Владимир Устинов, который в феврале был вторым, напротив, резко сдал: в его мартовской работе журналисты не обнаружили столь же интересной темы, какой были в феврале предварительные итоги расследования гибели "Курска".
Также из второго дивизиона вернулись в первую десятку депутаты Госдумы Дмитрий Рогозин и Александр Шохин. Рогозин, как глава комитета по международным делам, сосредоточился в феврале на двух проблемах: взаимоотношениях России с Грузией в свете абхазской и чеченской проблем и защите Южных Курил от посягательств Японии. Интерес СМИ к Александру Шохину был сродни случаю с Геращенко — в марте Шохин покинул пост главы банковского комитета Госдумы и ушел в большой бизнес, заставив журналистов рассуждать о его возможных преемниках.
Любопытно отступление на 9 позиций Александра Лебедя. Несмотря на его напряженную борьбу за Норильск, к его мнению по поводу этого конфликта СМИ, видимо, прислушиваются не так внимательно, как хотелось бы генералу. Тем не менее красноярский губернатор остается самым цитируемым из региональных политиков, если не считать мэра Москвы Лужкова.
Наибольшего прогресса среди авторитетов добился секретарь Совета безопасности Владимир Рушайло: в марте он организовал первую со времени назначения на эту должность пресс-конференцию и провел в Сочи встречу с секретарями СБ Азербайджана, Армении и Грузии. Логичен и подъем на 15 ступеней главы президентской администрации Александра Волошина: в прошлом месяце он побывал с президентом в Одессе, где журналисты постарались вытянуть из него максимум информации по наиболее насущным проблемам страны.
Ниже всех среди мартовских авторитетов пал Герман Греф — несмотря на частое упоминание в СМИ, цитат из его высказываний в прессе было маловато. Обращает на себя внимание и регресс Виктора Геращенко. Как уже отмечалось, говорили об отставке главы ЦБ все центральные СМИ, но вот цитировать многие предпочитали уже его преемника Сергея Игнатьева.
Среди малоупоминаемых политиков второй месяц подряд неплохо проявляет себя глава думского комитета по обороне Андрей Николаев. Если бы он соревновался в этой номинации наравне с остальными, то занял бы первое место (56,67%). Однако по общей упоминаемости Николаев не только не вошел в 50 лучших, но и опустился с 88-го на 91-е место.
Воротилы
![]() |
Лидером же неожиданно стал госсекретарь Союза Белоруссии и России Павел Бородин. В мартовской прессе слова "Бородин" и "деньги" были действительно неразделимы: сначала все СМИ сообщили о штрафе в 300 тыс. швейцарских франков, который швейцарские прокуроры наложили на бывшего управделами президента, а потом долго и с неподдельным интересом обсуждали, будет ли Пал Палыч эти деньги платить.
Третье место среди воротил занял помощник президента по экономике Андрей Илларионов. Доброй половиной этого успеха он также обязан отставке Геращенко: описывая творческий путь экс-председателя ЦБ, комментаторы часто поминали и Илларионова, нередко критиковавшего Геращенко за поддержание высокого курса рубля. Впрочем, удержаться в тройке лидеров президентскому помощнику будет крайне трудно: Сергей Игнатьев в апреле наверняка постарается занять в этой номинации первое место, два месяца принадлежавшее его предшественнику.
Глава Счетной палаты Сергей Степашин сильно прибавил в денежном рейтинге, обнаружив в Чечне нецелевое расходование казенных средств. Проблема норильских денег позволяет прочно удерживаться в первой десятке губернатору Лебедю. Десятое место Александра Вешнякова тоже вряд ли можно назвать случайным, ведь проблема расходования средств является одной из наиболее насущных для кандидатов на любых выборах.
Кубок прогресса в этой номинации заработал чукотский губернатор Роман Абрамович. Среди своих коллег по "Медиа-социуму", также фигурирующих в числе 50 лучших в связи с конкурсом на "шестую кнопку", он сумел выделиться благодаря ежегодному рейтингу журнала Forbes. По утверждению журнала, в минувшем году "начальник Чукотки" стал самым богатым россиянином: его состояние Forbes оценил в $3 млрд. Разумеется, пройти мимо столь радостного для жителей Чукотки факта российские журналисты никак не могли.
Лидер СПС Борис Немцов свои 16 мест прибавки заработал на куда менее внушительных суммах. В марте в его партии горячо обсуждали проблему членских взносов, составляющих сейчас 300 рублей в год, а сам он воевал за пенсионную реформу с главой Пенсионного фонда РФ Михаилом Зурабовым. Хуже всех показал себя вице-премьер и министр сельского хозяйства Алексей Гордеев (-25 мест): видимо, деньги, выделенные на сельское хозяйство в начале года, уже закончились. На 24 ступеньки (после февральского подъема на 28 позиций) опустился Евгений Киселев. Выиграв конкурс на частоту ТВ-6, он снова превратился в журналиста, оставив решение финансовых проблем профессионалам-олигархам.
Среди 180 участников рейтинга также лидирует Павел Бородин. Но если бы итоги в номинации подводились без учета общей упоминаемости, то президент Удмуртии Александр Волков уступил бы победителю всего полпроцента. Правда, 162-е место по упоминаемости вряд ли позволит удмуртскому лидеру в обозримом будущем войти в первый дивизион.
Придворные
![]() |
Вновь, как и в феврале, второе место вслед за Путиным занял глава его администрации Александр Волошин, приблизившийся к своему шефу еще на 0,8 процентного пункта. Владимир Рушайло, наоборот, от президента чуть отдалился, уступив третье место Александру Лебедю. Генерал, оказав теплый прием побывавшему в Красноярском крае Владимиру Путину, прибавил почти 40 процентных пунктов.
Стабильно держатся в первой десятке Борис Ельцин и неразлучная парочка политических антагонистов Геннадий Зюганов--Борис Немцов. Но в апреле вождь КПРФ может подняться и повыше: на передел центристами пакетного соглашения (подробнее см. стр. 10) он ответил новой серией разоблачительных заявлений об антинародном режиме в целом и об установившем этот режим президенте в частности.
Наибольшего прогресса в марте добился Лебедь, взлетевший на 38 позиций. На 28 ступеней поднялся уволенный Путиным Виктор Геращенко, на 20 — президент СССР Михаил Горбачев, встретившийся с Путиным в качестве персонажа выставки творений президентских фотографов.
Зато Михаил Касьянов продолжает укреплять свою политическую самостоятельность. В феврале премьер опустился в рейтинге "придворных" со стартового 23-го на 31-е место, а в марте отдалился от президента еще на 9 ступеней.
Хуже всех выступил вице-премьер Алексей Гордеев, опустившийся, как и в рейтинге воротил, на 25 мест. Совпадение, может быть, и случайное, но в чем-то закономерное: похоже, отдаление от президента людей, курирующих сельское хозяйство, оборачивается ощутимыми материальными потерями для всей отрасли. Симптоматичен и регресс Бориса Березовского (-11 мест) после февральского подъема на 15 позиций. Вопреки ожиданиям в его широко разрекламированном фильме, вышедшем на экраны 5 марта, журналисты так и не нашли прямых указаний на роль Путина в истории с организацией взрывов в Москве и Волгодонске.
Среди представителей второго дивизиона в марте нашлись сразу два политика, повторившие абсолютный февральский рекорд руководителя секретариата президента Игоря Сечина. В 100% публикаций, где были названы имена замглавы президентской администрации Александра Абрамова и дочери Бориса Ельцина Татьяны Дьяченко (Юмашевой), упоминался и Путин. А в досье самого Сечина на этот раз обнаружились аж 12% материалов, в которых о его начальнике не было ни слова.
Итог: взлет в связи с отставкой
![]() |
Прощальная гастроль Виктора Геращенко оказалась более чем эффектной. Перед тем как покинуть рейтинг, экс-глава ЦБ занял третье место, оттеснив на четвертое стабильного Сергея Иванова. Сменщик Геращенко тоже проявил себя неплохо, сразу попав в первую пятерку, и в апреле должен как минимум в ней закрепиться. Возможно, продолжит восхождение Геннадий Селезнев: какое бы решение о своем будущем ни принял спикер Госдумы, оно в любом случае станет предметом многочисленных комментариев в СМИ. "Исправился" спикер Совета федерации Сергей Миронов, который, опустившись в феврале с третьего на 13-е место, в марте снова вернулся в десятку, покорив публику своим отказом встречаться с Арафатом.
Однако самый удивительный результат показал министр связи Леонид Рейман, поднявшийся в итоговом рейтинге на 77 мест. Причем каких-то особых подвигов ему для этого совершать не потребовалось — достаточно было поучаствовать в паре специализированных выставок и провести расширенную коллегию министерства. А больше всего очков Рейман заработал на мероприятии, которое вообще не посещал: очень многие журналисты не преминули отметить, что министр связи по установленной им традиции не пришел на заседание Федеральной конкурсной комиссии, решавшей судьбу шестого телеканала.
В наступившем месяце стоит обратить внимание прежде всего на Сергея Игнатьева, которому предстоит бороться не только с реальными соперниками, но и с "тенью Геращенко". Благодаря целой череде региональных выборов есть шанс приблизиться к лидерам у Александра Вешнякова. Наконец, последние события в Госдуме могут серьезно сказаться на результатах участвующих в рейтинге депутатов.
ДМИТРИЙ КАМЫШЕВ
Всего материалов СМИ 21697
Путинские показатели
Упоминаемость 2069
Заголовки 1008
Цитируемость 317
Деньги 221
Рядом с П 2069
Российские ньюсмейкеры в долях от президента (Таблица 1)
Статистические данные собраны по 180 российским политикам. В табл. 1-5 приводятся данные по 50 наиболее упоминаемым.
Под "Упоминаемостью" понимается количество материалов СМИ, в которых встречается имя политика.
Параметр "Заголовки" оценивает "качественную" упоминаемость политика: он рассчитывается исходя из упоминаемости политика в заголовках и первых фразах сообщений прессы. Этот параметр позволяет отсечь случайные упоминания и зафиксировать лишь те сообщения, в которых политик является одним из главных героев.
Параметр "Цитируемость" оценивает авторитетность политика: фиксируются те сообщения СМИ, в которых в том или ином виде содержится ссылка на слова политика.
Параметр "Деньги" косвенным образом оценивает "экономическую активность" политика. Фиксируются сообщения, в которых его имя упоминается в контексте тех или иных денежных сумм.
Параметр "Рядом с П" характеризует совместную встречаемость имен политика и президента страны.
В табл. 1 абсолютные показатели президента по каждому из параметров считаются эталонными и принимаются за 100%. Показатели остальных политиков считаются в процентах от соответствующих показателей Владимира Путина.
Политики в табл. 1 ранжированы по параметру "Упоминаемость". В скобках указывается место в рейтинге по другим параметрам. В колонке "Место" в скобках указывается место по "Упоминаемости" в прошлом месяце.
ТАБЛ. 2
| Место | Деятель | Заголовщики | Заголовки |
|---|---|---|---|
| 1 (1) | Иванов Сергей | 65,32 | 3 |
| 2 (2) | Иванов Игорь | 62,09 | 4 |
| 3 (29) | Геращенко Виктор | 56,92 | 7 |
| 4 (--) | Бородин Павел | 56,57 | 17 |
| 5 (4) | Касьянов Михаил | 54,13 | 2 |
| 6 (--) | Игнатьев Сергей | 53,41 | 9 |
| 7 (14) | Рушайло Владимир | 53,33 | 20 |
| 8 (35) | Селезнев Геннадий | 53,23 | 5 |
| 9 (--) | Вешняков Александр | 50,67 | 23 |
| 10 (9) | Путин Владимир | 48,72 | 1 |
| 11 (11) | Миронов Сергей | 47,92 | 8 |
| 12 (19) | Христенко Виктор | 43,75 | 11 |
| 13 (17) | Алексий II | 43,68 | 24 |
| 14 (39) | Березовский Борис | 43,58 | 10 |
| 15 (13) | Гордеев Алексей | 42,65 | 16 |
| 16 (12) | Грызлов Борис | 41,79 | 35 |
| 17 (32) | Лужков Юрий | 37,02 | 6 |
| 18 (26) | Юсуфов Игорь | 36,84 | 25 |
| 19 (--) | Патрушев Николай | 36,25 | 34 |
| 20 (5) | Филиппов Владимир | 35,63 | 29 |
| 21 (31) | Степашин Сергей | 35,37 | 33 |
| 22 (20) | Киселев Евгений | 34,90 | 12 |
| 23 (--) | Рогозин Дмитрий | 34,41 | 26 |
| 24 (7) | Шойгу Сергей | 33,78 | 36 |
| 25 (21) | Лесин Михаил | 33,06 | 22 |
| 26 (18) | Лебедь Александр | 32,29 | 27 |
| 27 (25) | Матвиенко Валентина | 32,28 | 19 |
| 28 (30) | Примаков Евгений | 31,63 | 13 |
| 29 (3) | Клебанов Илья | 30,10 | 28 |
| 30 (16) | Кудрин Алексей | 29,50 | 15 |
| 31 (28) | Миллер Алексей | 28,05 | 39 |
| 32 (41) | Володин Вячеслав | 26,74 | 37 |
| 33 (38) | Зюганов Геннадий | 26,32 | 32 |
| 34 (--) | Харитонов Николай | 25,00 | 42 |
| 35 (43) | Чубайс Анатолий | 24,18 | 14 |
| 36 (--) | Илларионов Андрей | 23,33 | 40 |
| 37 (15) | Греф Герман | 22,45 | 21 |
| 38 (50) | Дерипаска Олег | 20,59 | 57 |
| 39 (34) | Громов Борис | 20,55 | 53 |
| 40 (42) | Швыдкой Михаил | 20,54 | 38 |
| 41 (--) | Шохин Александр | 20,00 | 49 |
| 42 (46) | Жириновский Владимир | 18,90 | 30 |
| 43 (40) | Немцов Борис | 18,28 | 44 |
| 44 (37) | Волошин Александр | 16,85 | 55 |
| 45 (44) | Черномырдин Виктор | 16,67 | 50 |
| 46 (48) | Горбачев Михаил | 16,13 | 31 |
| 47 (47) | Ельцин Борис | 14,99 | 18 |
| 48 (45) | Гусинский Владимир | 13,92 | 67 |
| 49 (--) | Жуков Александр | 11,94 | 78 |
| 50 (49) | Абрамович Роман | 7,25 | 103 |
В табл. 1 "качественная" упоминаемость политика сравнивается с аналогичным президентским показателем.
В табл. 2 "качественная" упоминаемость политика сравнивается с его общей упоминаемостью. Тот, у кого среди всех упоминаний больше доля упоминаний в заголовках и первых фразах сообщений СМИ, занимает более высокое место.
Данные в колонке "Заголовщики" указаны в процентах. В колонке "Заголовки" указано место, занятое политиком по соответствующему параметру в табл. 1. В скобках указывается место, занятое в предыдущем месяце.
ТАБЛ. 3
| Место | Деятель | Авторитеты | Цитируемость |
|---|---|---|---|
| 1 (--) | Вешняков Александр | 48,00 | 13 |
| 2 (--) | Патрушев Николай | 37,50 | 17 |
| 3 (3) | Иванов Сергей | 34,97 | 3 |
| 4 (9) | Гордеев Алексей | 34,56 | 9 |
| 5 (1) | Филиппов Владимир | 34,48 | 19 |
| 6 (10) | Иванов Игорь | 33,73 | 4 |
| 7 (--) | Рогозин Дмитрий | 33,33 | 16 |
| 8 (8) | Миронов Сергей | 31,25 | 5 |
| 9 (--) | Шохин Александр | 29,41 | 25 |
| 10 (17) | Клебанов Илья | 29,13 | 18 |
| 11 (--) | Илларионов Андрей | 28,89 | 24 |
| 12 (14) | Христенко Виктор | 28,75 | 10 |
| 13 (34) | Рушайло Владимир | 27,78 | 26 |
| 14 (15) | Касьянов Михаил | 26,82 | 2 |
| 15 (26) | Степашин Сергей | 25,61 | 27 |
| 16 (22) | Селезнев Геннадий | 24,92 | 7 |
| 17 (6) | Юсуфов Игорь | 22,11 | 28 |
| 18 (11) | Лесин Михаил | 20,97 | 23 |
| 19 (25) | Лужков Юрий | 19,86 | 6 |
| 20 (--) | Игнатьев Сергей | 19,68 | 8 |
| 21 (13) | Кудрин Алексей | 19,00 | 11 |
| 22 (23) | Шойгу Сергей | 18,92 | 40 |
| 23 (21) | Матвиенко Валентина | 18,35 | 20 |
| 24 (32) | Володин Вячеслав | 17,44 | 34 |
| 25 (29) | Киселев Евгений | 16,67 | 15 |
| 26 (31) | Немцов Борис | 16,13 | 37 |
| 27 (18) | Лебедь Александр | 15,63 | 38 |
| 28 (30) | Путин Владимир | 15,32 | 1 |
| 29 (37) | Миллер Алексей | 14,63 | 44 |
| 30 (45) | Волошин Александр | 14,61 | 42 |
| 31 (--) | Бородин Павел | 14,14 | 39 |
| 32 (16) | Геращенко Виктор | 13,85 | 12 |
| 33 (12) | Греф Герман | 13,78 | 22 |
| 34 (--) | Жуков Александр | 13,43 | 54 |
| 35 (27) | Чубайс Анатолий | 13,11 | 14 |
| 36 (33) | Алексий II | 11,49 | 52 |
| 37 (44) | Березовский Борис | 10,89 | 21 |
| 38 (--) | Харитонов Николай | 10,53 | 59 |
| 39 (24) | Швыдкой Михаил | 9,82 | 50 |
| 40 (42) | Громов Борис | 9,59 | 63 |
| 41 (41) | Грызлов Борис | 8,96 | 69 |
| 42 (49) | Горбачев Михаил | 8,60 | 32 |
| 43 (40) | Черномырдин Виктор | 8,33 | 56 |
| 44 (38) | Примаков Евгений | 7,65 | 33 |
| 45 (43) | Зюганов Геннадий | 6,14 | 67 |
| 46 (36) | Жириновский Владимир | 4,27 | 62 |
| 47 (47) | Ельцин Борис | 2,59 | 55 |
| 48 (48) | Гусинский Владимир | 2,53 | 123 |
| 49 (46) | Дерипаска Олег | 1,47 | 144 |
| 50 (50) | Абрамович Роман | 0,00 | 179 |
В табл. 1 цитируемость политика сравнивается с аналогичным президентским показателем.
В табл. 3 цитируемость политика сравнивается с его общей упоминаемостью. Тот, у кого среди всех упоминаний больше доля прямых или косвенных цитат, занимает более высокое место.
Данные в колонке "Авторитеты" указаны в процентах. В колонке "Цитируемость" указано место, занятое политиком по соответствующему параметру в табл. 1.
В скобках указывается место, занятое в предыдущем месяце.
ТАБЛ. 4
| Место | Деятель | Воротилы | Деньги |
|---|---|---|---|
| 1 (--) | Бородин Павел | 50,51 | 6 |
| 2 (1) | Геращенко Виктор | 43,85 | 3 |
| 3 (--) | Илларионов Андрей | 43,33 | 9 |
| 4 (--) | Игнатьев Сергей | 38,96 | 4 |
| 5 (2) | Кудрин Алексей | 32,50 | 5 |
| 6 (23) | Степашин Сергей | 26,83 | 17 |
| 7 (10) | Лебедь Александр | 22,92 | 16 |
| 8 (--) | Шохин Александр | 22,35 | 18 |
| 9 (11) | Гусинский Владимир | 20,25 | 24 |
| 10 (--) | Вешняков Александр | 18,67 | 29 |
| 11 (9) | Юсуфов Игорь | 17,89 | 22 |
| 12 (20) | Громов Борис | 17,81 | 32 |
| 13 (4) | Березовский Борис | 17,51 | 8 |
| 14 (35) | Абрамович Роман | 17,39 | 34 |
| 15 (31) | Немцов Борис | 17,20 | 25 |
| 16 (6) | Касьянов Михаил | 16,31 | 2 |
| 17 (19) | Дерипаска Олег | 16,18 | 38 |
| 18 (33) | Жириновский Владимир | 15,85 | 14 |
| 19 (18) | Черномырдин Виктор | 15,63 | 28 |
| 20 (30) | Клебанов Илья | 15,53 | 26 |
| 21 (16) | Греф Герман | 15,31 | 12 |
| 22 (12) | Матвиенко Валентина | 15,19 | 15 |
| 23 (24) | Миллер Алексей | 14,63 | 35 |
| 24 (8) | Чубайс Анатолий | 13,93 | 11 |
| 25 (--) | Жуков Александр | 11,94 | 51 |
| 26 (22) | Филиппов Владимир | 11,49 | 43 |
| 27 (25) | Лужков Юрий | 11,29 | 7 |
| 28 (28) | Путин Владимир | 10,68 | 1 |
| 29 (36) | Иванов Сергей | 10,40 | 10 |
| 30 (13) | Швыдкой Михаил | 9,82 | 39 |
| 31 (7) | Киселев Евгений | 9,38 | 20 |
| 32 (27) | Ельцин Борис | 8,36 | 13 |
| 33 (38) | Лесин Михаил | 8,06 | 41 |
| 34 (47) | Зюганов Геннадий | 7,89 | 45 |
| 35 (37) | Горбачев Михаил | 7,53 | 30 |
| 36 (17) | Христенко Виктор | 7,50 | 37 |
| 37 (48) | Шойгу Сергей | 6,76 | 66 |
| 38 (46) | Примаков Евгений | 6,63 | 33 |
| 39 (14) | Гордеев Алексей | 6,62 | 47 |
| 40 (42) | Селезнев Геннадий | 5,85 | 19 |
| 41 (21) | Володин Вячеслав | 5,81 | 72 |
| 42 (32) | Миронов Сергей | 4,51 | 31 |
| 43 (--) | Харитонов Николай | 3,95 | 94 |
| 44 (49) | Иванов Игорь | 3,58 | 36 |
| 45 (39) | Алексий II | 3,45 | 87 |
| 46 (50) | Грызлов Борис | 2,99 | 106 |
| 47 (44) | Волошин Александр | 2,25 | 103 |
| 48 (40) | Рушайло Владимир | 2,22 | 105 |
| 49 (--) | Рогозин Дмитрий | 2,15 | 101 |
| 50 (--) | Патрушев Николай | 0,00 | 175 |
В табл. 1 упоминаемость политика в денежном контексте сравнивается с аналогичным президентским показателем.
В табл. 4 денежная совместимость политика сравнивается с его общей упоминаемостью. Тот, у кого среди всех контекстов больше доля денежных, занимает более высокое место.
Данные в колонке "Воротилы" указаны в процентах. В колонке "Деньги" указано место, занятое политиком по соответствующему параметру в табл. 1.
В скобках указывается место, занятое в предыдущем месяце.
ТАБЛ. 5
| Место | Деятель | Придворные | Рядом с П |
|---|---|---|---|
| 1 (1) | Путин Владимир | 100,00 | 1 |
| 2 (2) | Волошин Александр | 65,17 | 17 |
| 3 (41) | Лебедь Александр | 59,38 | 18 |
| 4 (4) | Ельцин Борис | 57,35 | 3 |
| 5 (6) | Зюганов Геннадий | 51,75 | 16 |
| 6 (5) | Немцов Борис | 44,09 | 23 |
| 7 (3) | Рушайло Владимир | 41,11 | 25 |
| 8 (9) | Степашин Сергей | 40,24 | 27 |
| 9 (7) | Кудрин Алексей | 39,00 | 12 |
| 10 (30) | Горбачев Михаил | 36,02 | 14 |
| 11 (39) | Геращенко Виктор | 35,00 | 6 |
| 12 (11) | Чубайс Анатолий | 34,43 | 8 |
| 13 (15) | Гусинский Владимир | 34,18 | 32 |
| 14 (16) | Дерипаска Олег | 33,82 | 37 |
| 15 (27) | Иванов Сергей | 33,82 | 4 |
| 16 (--) | Патрушев Николай | 33,75 | 33 |
| 17 (25) | Миронов Сергей | 33,68 | 5 |
| 18 (8) | Грызлов Борис | 32,84 | 41 |
| 19 (12) | Примаков Евгений | 32,65 | 15 |
| 20 (18) | Жириновский Владимир | 32,32 | 19 |
| 21 (10) | Березовский Борис | 32,30 | 10 |
| 22 (22) | Черномырдин Виктор | 32,29 | 29 |
| 23 (--) | Рогозин Дмитрий | 31,18 | 30 |
| 24 (--) | Илларионов Андрей | 30,00 | 31 |
| 25 (--) | Вешняков Александр | 29,33 | 42 |
| 26 (28) | Матвиенко Валентина | 28,48 | 21 |
| 27 (33) | Лесин Михаил | 28,23 | 26 |
| 28 (--) | Игнатьев Сергей | 26,91 | 13 |
| 29 (32) | Греф Герман | 26,53 | 20 |
| 30 (35) | Клебанов Илья | 26,21 | 34 |
| 31 (--) | Шохин Александр | 25,88 | 38 |
| 32 (21) | Володин Вячеслав | 25,58 | 39 |
| 33 (26) | Селезнев Геннадий | 25,54 | 11 |
| 34 (23) | Иванов Игорь | 25,37 | 7 |
| 35 (17) | Абрамович Роман | 24,64 | 55 |
| 36 (19) | Шойгу Сергей | 24,32 | 52 |
| 37 (--) | Жуков Александр | 22,39 | 64 |
| 38 (--) | Харитонов Николай | 22,37 | 54 |
| 39 (36) | Киселев Евгений | 21,88 | 22 |
| 40 (31) | Касьянов Михаил | 21,61 | 2 |
| 41 (38) | Миллер Алексей | 20,73 | 57 |
| 42 (--) | Бородин Павел | 20,20 | 48 |
| 43 (20) | Алексий II | 19,54 | 56 |
| 44 (44) | Громов Борис | 19,18 | 72 |
| 45 (42) | Лужков Юрий | 18,74 | 9 |
| 46 (45) | Швыдкой Михаил | 16,96 | 50 |
| 47 (47) | Христенко Виктор | 15,63 | 36 |
| 48 (50) | Филиппов Владимир | 12,64 | 82 |
| 49 (24) | Гордеев Алексей | 11,76 | 58 |
| 50 (43) | Юсуфов Игорь | 11,58 | 78 |
В табл. 1 количество материалов СМИ, в которых упоминаются и политик, и президент, фактически сравнивается с упоминаемостью президента (показатель "Рядом с П" для Владимира Путина совпадает с показателем "Упоминаемость"). Несколько огрубляя, можно сказать, что табл. 1 дает представление о том, какое место в жизни президента занимает политик.
В табл. 5 совместная упоминаемость политика и президента сравнивается с общей упоминаемостью политика. Также несколько огрубляя, можно сказать, что табл. 5 дает представление о том, какое место в жизни политика занимает президент.
Тот, у кого среди всех контекстов больше доля президентских, занимает более высокое место.
Данные в колонке "Придворные" указаны в процентах. В колонке "Рядом с П" указано место, занятое политиком по соответствующему параметру в табл. 1. В скобках указывается место, занятое в предыдущем месяце.
Российские ньюсмейкеры в долях от президента (Таблица 6)
В табл. 6 приведен общий ретинг ньюсмейкеров, вычисленный по совокупности всех параметров табл. 1-5.
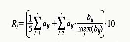
Итоговый рейтинг рассчитан следующим образом.
Для каждого политика выведен средний показатель по табл. 1 (показатели из табл. 1 суммируются, сумма делится на 5).
К этому среднему показателю политики, вошедшие в табл. 1, прибавляются бонусы, рассчитанные на основе табл. 2-5.
Расчет бонусов приведем на примере таблицы "Авторитеты".
Авторитетность политика, занявшего первое место в этой таблице, принимается за 1. Авторитетность остальных политиков пересчитываются в долях от показателя лидера. Таким образом, каждый политик получает некий коэффициент авторитетности. Этот коэффициент умножается на показатель политика по парному для "Авторитетов" параметру "Цитируемость". Полученное произведение и есть бонус.
Бонусы по параметрам "Заголовщики", "Воротилы" и "Придворные" рассчитываются аналогичным образом.
После того как все бонусы прибавлены, полученная сумма для удобства восприятия умножается на 10.
Описанную процедуру можно представить в виде следующей формулы:
![]() |
Замеры производились по ресурсам Национальной электронной библиотеки. При подсчете учитывались публикации в следующих СМИ
Газеты: Аргументы и факты, Ведомости, Версия, Вечерняя Москва, Время MN, Время новостей, Гудок, Газета, Завтра, Известия, Коммерсантъ, Комсомольская правда, Красная звезда, Литературная газета, Московская правда, Московские новости, Московский комсомолец, Независимая газета, Новая газета, Новые Известия, Общая газета, Парламентская газета, Российская газета, Совершенно секретно, Советская Россия, Трибуна, Труд, Экономика и жизнь
Журналы: Еженедельный журнал, Итоги, Коммерсантъ-Власть, Коммерсантъ-Деньги, Компания, Огонек, Профиль, Российская Федерация сегодня, Эксперт
Новостные выпуски теле- и радиокомпаний: ОРТ, РТР, ТВЦ, НТВ, ТВ-6, Радио "Маяк", Радио России, Радио "Эхо Москвы" (мониторинг Центра региональных прикладных исследований).
В разработке проекта принимали участие Сергей Никулин, Андрей Моченов, Павел Черников
Статистика: Михаил Лукин, Анна и Павел Черниковы







